REST BREAKS ARRANGE BASED ON EMPIRICAL STUDIES OF PRODUCTIVITY IN MANUFACTURING INDUSTRY

Feng Dong1+ --- Qiguo Gong2 --- Hui Wang3 --- Siyuan Yi4 --- Yue Cai5

1,2,3,4,5School of Economics and Management, University of Chinese Academy of Sciences, Beijing, China.

ABSTRACT

This paper investigates how worker productivity differs in each consecutive work period based on tests conducted on a manufacturing company. We first employed a two-dimension fixed effect model to unbalanced panel data with 6,117,317 records which contain 102 employees and 1680 workdays. We also found that worker productivity between two adjacent rest breaks shows a U-shaped trend. This finding supplements the previous researches about interruption events, which only explored the effect of interruption after its occurrence. Based on our empirical findings, to obtain the lowest production system variability, a mathematical model which aims to optimally configure work and break scheduling of a production line is then presented. The optimal schedule is that one worker either begins their work when another worker from the same workstation starts their break immediately or has worked for a half of a completed work and break period. Our analysis combines empirical studies and model analysis to improve the operations management researches and practices.

Keywords: Breaks interruption, Variability, Economic productivity, Manufacturing industry, Productivity, U-shaped relationship.

JEL Classification: L60; M11; M54.

ARTICLE HISTORY: Received:7 June 2019 Revised:19 July 2019 Accepted:26 August 2019 Published:25 September 2019.

Contribution/ Originality:This study is one of very few that finds the U-shaped trend between two adjacent rest breaks and builds a model to evaluate its economic value in manufacturing industry.

1. INTRODUCTION

The manufacturing system is often affected by various factors such as raw materials shortage, inventory, setup, maintenance, rework, buffer, machine failures and breaks which result in process variability. As a critical performance index, process variability plays an important role on production lines. In general, production variability increases the cost of operational processes and produces a negative effect on system performance. That production variability may cause increased process cost is widely recognized (Lee and Billington, 1993). The impact of variability in process management triangles (capacity utilization, variability and inventory) on productivity has been an important research topic in operations management (Klassen and Menor, 2007). Hopp and Spearman (1996) believe that increasing variability degrades the performance of a production system. Although many factors may incur variability in production processes, the assumption in previous researches takes people as fixed, unchanging, or exogenous entities (Lee and Tang, 1998; Roubos et al., 2012). However, worker productivity can change due to psychological and physiological causes. Therefore, human behavior is also a source of production variability.

It is well known that modeling human behavior is a difficult task, so empirical research about human behavior becomes necessary. However, by analyzing 1,015 papers on the topic of operations management published in 2010 to 2015 in three top journals (Management Science (MS), Manufacturing & Service Operations Management (M&SOM) and Production and Operations Management (POM)), Ho et al. (2017) found only 18 percent of articles contained empirical analysis. The main reason, we think, is the lack of data. In the current manufacturing environment, many types of data can be generated during the operation processes of an enterprise, and more and more data are recorded by systems such as Manufacturing Execution System (MES), Enterprise Resource Planning (ERP) and Cyber-Physical Systems (CPS). The availability of production data, in turn, makes it possible to study the effect of human behavior. In recent years, there are some researches that study the productivity effect of humans. For example, some scholars study how interruption affects human productivity (Trougakos et al., 2008; Pang and Whitt, 2009; Froehle and White, 2013; Kolbeinsson et al., 2014; Lu et al., 2014; Trougakos et al., 2014; Sanderson and Grundgeiger, 2015; Hunter and Wu, 2016; Kim et al., 2016; Andreasson et al., 2017; Kolbeinsson et al., 2017; Pasquale et al., 2017; Cai et al., 2018) . Some scholars study how specialization and variety of tasks affect human productivity (Narayanan et al., 2009; Kc and Terwiesch, 2011; Staats and Gino, 2012; Kc, 2013) . Some scholars study how workload effects productivity (Kc and Terwiesch, 2009; Dietz, 2011; Tan and Netessine, 2014) and so on.

The truth is, the three factors (interruption, task variety and workload) may all affect worker productivity, individually or collectively, leading to variability in the production system. In this paper, we do not investigate the behavioral factors that affect productivity, but focus on worker performance variability between scheduled rest breaks. To the best of our knowledge, there have been few studies of this issue to date.

We study a production process of a manufacturing enterprise with traits of constant repetition, simple operation, single product and short processing time. Using a data-driven method described by Simchi-Levi (2014) unbalanced panel data with 6,117,317 records including 102 employees and 1680 workdays was analyzed. It was here that we found the U-shaped trend in worker productivity between two adjacent rest breaks.

The changes of productivity indicate the existence of productivity variability in the production processes. In previous studies, the researchers assumed that the production time of one item satisfies a certain distribution, usually an exponential or normal distribution because variability of production line is still hard to define (Whitt, 1995; Wu et al., 2016). However, in this paper we found a specific distribution (U-shaped) of productivity with time between two adjacent rest breaks by using realistic data.

Variability is always the enemy of performance in a production system (Schonberger, 1982; Inman, 1993). Therefore, how to deal with productivity variability between two adjacent rest breaks is another critical problem. There are many researchers who have provided different methods to ease the stress of process variability. Gong et al. (2009) believed that the target of lean manufacturing is to exposure process variability which can then be reduced. Lee and Tang (1998) and Kapuscinski and Tayur (1999) reengineered the manufacturing process by reversing two consecutive stages. This process reversion reduced the variance and improved production performance. Li (2003) utilized simulation research and found that a workplace’s performance will be improved by decreasing set-up and processing time variabilities.

In this study we developed a mathematical model to rearrange rest breaks that can improve process variabilities. We assumed that there were two identical workers in each workstation of a production line, hence, the two workers can share equal parts of the supplied materials and so be able to pass-on the same product to the next workstation. Here, we present a model designed to optimally configure the production and break scheduling with the lowest possible variability.

This paper is organized as follows. We execute an empirical analysis in part 2. In part 3, a system scheduling model with two identical workers in each workstation is formulated based on our empirical analysis. This part also compares the variability between two production style designs and discusses the optimal conditions of how to arrange work and break intervals. The paper concludes with a discussion of the management implications of our main findings.

2. EMPIRICAL ANALYSIS

In this part, data from a test conducted on a manufacturing company is collected in order to study worker productivity change between two adjacent rest breaks. Then, a two-dimensional fixed effect model is utilized for our analysis.

2.1. Data, Variables and Model

2.1.1. Data Collection and Processing

This study selects a production line’s test of a manufacturing company during 2017.01.01 to 2017.12.31 as our dataset with traits of constant repetition, simple operation, single product and short test time. Worker’s standard working hours are from 8:00 am to 20:00 pm. In practice, employees take rest every day at relatively fixed times which are morning rest (10:00 am to 10:15 am), lunch break (12:00 pm to 13:00 pm), afternoon rest (15:00 pm to 15:15 pm) and dinner break (17:00 pm to 18:00 pm). According to responses from firm’s managers and front-line employees, the actual rest and meal times are slightly longer than scheduled. Excluding a very small number of recording errors and missing data, we selected an unbalanced panel data with 6,117,317 records, 102 employees and 1680 workdays. Among them, the operator with highest attendance rate worked 110 days while the lowest worked only one day. Figure A1 in appendix A indicates its density distribution. Therefore, each operator works about 16 days on average in this year.

Figure-1. Average test time per minute of during 8:10 am-20:00 pm.

Source: Developed by authors according to data sources from the selected manufacturing company.

In order to describe the productivity change roughly, a one minute interval is adopted to capture each worker’s average test time. Figure 1 shows the average test time calculated by one minute of all operators during the work day. The horizontal axis represents the number of one minute interval, from one to 720. The number “1” is the time interval 8:00 am-8:01 am and “720” represents the time interval 19:59 pm-20:00 pm. In Figure 1, the average test time during or near the break interruption is apparently larger than in other periods. There are two reasons for this: (1) number of actual production tests around break interruption are less than non-interrupted periods; and (2) the test time has a larger fluctuation either before or after the interruption because of setup time, work delay or other intangible factors.

The dayshift is divided into five consecutive stages of work based on break interruptions as shown in Figure 1. As indicated, the standard rest time is 15 minutes, however, in practice, employees’ rest time always fluctuates around 15 minutes, especially for the short period following rest breaks. This article selects the period 10:00 am to10:20 am and 15:00 pm to 15:20 pm as the morning rest and afternoon rest respectively. For meal breaks, the tested enterprise adopted a meal-break strategy in which workers have lunch in batches to reduce crowding in cafeteria during the Lunch Break. The three batches for lunch are 11:40 am to12:40 pm, 11:50 am to 12:50 pm and 12:00 pm to13:00 pm, respectively. Generally, the lunch break starts between 11:40 am and 12:00 am. Therefore, the period 11:50 am to 13:00 pm is taken as the lunch break in this study. Conversely, for the dinner break, batches arrangement is not adopted because the demand at dinner time is relatively light, and the scheduled time is between 17:00 pm and 18:00 pm. Frequency of other non-rest and non-dining interruptions are very low in this company. Therefore, it is feasible to define the interruption in a practical situation. In addition, the timeframe of rest breaks and the five stages are shown in Table 1. From Figure 1, it is obvious that the starting and ending of the dayshift causes only a small fluctuation in productivity. We excluded the first and last 10 minutes’ data from every dayshift.

Table-1 . The definition of interruption and working stages.

Periods
Time
Periods
Time
Stage1
8:10-10:00
Afternoon rest
15:00-15:20
Morning rest
10:00-10:20
Stage4
15:20-17:00
Stage2
10:20-11:50
Dinner break
17:00-18:00
Lunch break
11:50-13:00
Stage5
18:00-19:50
Stage3
13:00-15:00

Notes: The division of scheduled break interruptions and working stages results from the production plan of selected company.

In practice, the test time of this procedure is approximately 7 seconds and some abnormal interruptions may affect our analysis. Based on average test time of one every minute, this paper deals with the original data in the following steps. Firstly, we find the rest break location of each operator’s workday according to Table 1 which includes all the test data with test time of less than 420s between 8:10 am-19:50 pm. Secondly, the mean and standard deviation of average test time are calculated in each stage.  principle is employed to remove some abnormal test records. Because our test time is positive, we only consider the upper bound of  principle. 1.5 is adopted and we obtain the mean (=10.18s) and upper bound (=34.72s) by adding up all five stages. We exclude test records with average test times larger than 34.72s and the detail is shown in Table A1. Because the number of total records are large enough and the test records with test time higher than 34.72s occupy only a very small proportion in our data, thus regardless of whetheris 1.5or 3 it would have little impact on our analysis and so our approach is reasonable.

2.1.2. Variables

2.1.2.1. Dependent Variable

In this study, we directly take the average test time as the measurement of worker productivity. Our empirical study takes one minute as the time interval. The productivity is calculated as . denotes the quantity of test production within one minute, and  represents the difference between end time of the last production and start time of the first production during one minute intervals, which is always equal to or less than 60s.

2.1.2.2. Independent Variable

2.1.3. Model

2.2. Empirical Findings

This subpart presents the empirical findings of our model based on test data. We implement model (1) and obtain the results for each stage in Table 2 with two-dimension fixed effect model.

Table 2 reports the results of model (1), with each column reporting the results for a corresponding stage. It is apparent that the coefficients of stage1-5 are all statistic significant at 5% level, and the estimation of the coefficients indicates that there is a quadratic function relationship between worker productivity and successive work time between two adjacent rest breaks. Productivity of stage 1 has a reverse trend compared with other four stages. In stage 1, the work time is 90 minutes in total while the vertex of the quadratic function is located at , therefor, worker productivity is going to increase monotonically.

Table-2. Regression conclusions of model (1).

2.3. Robustness Checks

To test the robustness of our analysis results of U-shaped productivity trend in Table 2, following checks are made. Firstly, we focus on the dependent variable. Our normality tests report that the average test time per minute disobeys a normal distribution. Therefore, the natural log of productivity  is taken as new dependent variable, and the regression results are presented in Table 3. It is noted that the coefficients are basically consistent and significant as with previous findings in Table 2. The sign of all coefficients are also the same as those in Table 2, along with slight differences in magnitude. This test confirms that the form of the dependent variable has little effect on our earlier conclusions, demonstrating the robustness of our empirical findings.

Secondly, we extend the effect of unobservable factors on productivity by enlarging test records with longer test times. According to the investigation of front-line employees, the rest time in the morning or afternoon is always longer than half of the fixed rest time (15 minutes). We took test records with the test time and the outcomes fell into the range of 34s – 420s. As in Table 2, we took the test times which were less than 420s as the new dependent variable. Table 4 shows that the other four regressions have the same coefficients sign as those in Table 2, except for stage five. We found that only the coefficient of the quadratic item in stage five is significant at a level of five percent. Then, a linear regression is employed and the coefficient (0.039922) is positively significant at one percent. Two reasons may account for the difference between stage five and stages two to four. At first, more interference factors may appear when employees are about to finish their day’s work. In addition, there are relatively fewer test records and larger variances in test times at the end of the work day. Therefore, abnormal test records are more likely to appear at that time. This means that our earlier analysis is still robust even though we enlarged the scope of dependent variable.

Table-3. Regression conclusions of model with In (productivity)

Thirdly, we divided each of stages two to five into two sides based on the lowest vertex of the U-shaped trend. Coefficients of Table 2 display that the timing for obtaining the worst productivity locates on the 40th, 57th, 51st and 78th minutes from the beginning of stages two to five. We took these time points as the boundary value and applied two linear models for each stage. The upper half of Table 5 demonstrates the regression results of the left side, while the bottom half shows the regression results of right side in stages two to five. We found that coefficients of left side are all positive even though stages two and four are not significant at a level of 10 percent, and the coefficients of the right side are all negative and significant at 10 percent. This is consistent with U-shaped productivity finding in Table 2.

Table-5. Two sides' regression of U-shaped in stage 2-5.

3. REST SCHEDULING BASED ON “U-SHAPED” PRODUCTIVITY

3.1. Production Setting and Model Assumptions

In many manufacturing companies process variability is a critical factor which deteriorates the system’s performance (Hopp and Spearman, 1996). How to arrange the production line to mitigate the effect of variability is an important consideration. In the company we investigated, there are two workers in each workstation of a production line where they share the supply of parts and materials and pass-on the same product to the next workstation as described by Figure 2. The circles with solid line represent the workers located on both sides of the production line, while circles with dotted line represent the workstations on a conveyor belt. The parts material flow step-by-step from workstation one to workstation m. Combining our empirical findings and manufacturing practice, a model is thereby built up to determine the optimal work and break plan, and to research the lowest variability of the production line.

Figure-2. Two production line with joint parts material supply.

Source: Developed by authors according to above empirical conclusion.

In order to abstract and simplify our model, we made several assumptions for our realistic production environment. From Figure 2, we defined several parameters with detailed a description in Table 6. Then, we integrated the empirical U-shaped trend of worker productivity between two adjacent rest breaks upon which to base the following assumptions.

Table-6. Description of model parameters.

Source: Developed by authors according to our theory model.

3.1.1. Assumptions

Based on above four assumptions, we can describe parameters in Table 6 and find Equation 2 and Equation 3 as follows. Those two equations show the relationships among parameters in Table 6.

3.2. Variability of Two Different Production Styles

This subsection discusses two production style designs based on Figure 2 with the same productivity trend but different production and break plans.

Production style 1: Same work and break rhythms for workers of each workstation.

Figure-3. Same work and break rhythms of each workstation.

Source: Developed by authors according to different condition of parameters in our model.

Figure-4. Different work and break rhythms of each workstation.

Source: Developed by authors according to different condition of parameters in our model.

In terms of keeping the output of a production line constant, theorem one demonstrates that a workstation of production style two experiences a lower process variability. Keeping the production line running provides a useful guidance to firms that enables managers to reduce a production line’s variability by rearranging the staggered break times. In practice, this finding may provide a simple and feasible method for firms to utilize the U-shaped trend of workers’ productivity sufficiently to reduce their production variability.

Figure-5. Two optimal designs with lowest variability of production style 2.

Source: Developed by authors according to different condition of parameters in our model.

4. CONCLUSION

In this paper, we explored two critical questions. Firstly, utilizing a production test procedure with constant repetitions, simple operation, single product, and short test time from a manufacturing enterprise, the productivity trend between two adjacent rest breaks was analyzed by employing the two-dimension fixed effect model. Empirical findings show that the trend of productivity between two adjacent break interruptions has a U-shaped form. To best of our knowledge, it is the first time that a U-shaped trend of worker productivity during successive work time between two adjacent rest breaks has been discovered within a selected manufacturing environment. Secondly, based on the findings from empirical research, we concentrated on a special production line application where each workstation has two identical workers. The two workers have the same “U-shaped” productivity trend and each worker has totally equal work and break time. Dividing the system into two production style designs by a work and break interval between two workers of a same workstation, a mathematical model was constructed to compare the variability of those two production style designs, and to optimally configure the production and break scheduling with lowest variability. Additionally, theorems one to three rising from model analysis demonstrate that production style with a work and break interval will have smaller a variability than a production style design with the same work and break rhythms. To obtain the lowest variability, it is optimal for manufacturers to arrange their production line as follows: one worker either begins their work when another worker from the same workstation starts their break immediately, or has worked for a half of a completed work and break period.

Funding: This study received no specific financial support.   
Competing Interests: The authors declare that they have no competing interests. 
Acknowledgement: All authors contributed equally to the conception and design of the study.

REFERENCES

Andreasson, R., J. Lindblom and P. Thorvald, 2017. Interruptions in the wild: Portraying the handling of interruptions in manufacturing from a distributed cognition lens. Cognition, Technology & Work, 19(1): 85-108.Available at: https://doi.org/10.1007/s10111-016-0399-6.

Bertrand, M., E. Duflo and S. Mullainathan, 2004. How much should we trust differences-in-differences estimates? The Quarterly Journal of Economics, 119(1): 249-275.Available at: https://doi.org/10.1162/003355304772839588.

Cai, X., J. Gong, Y. Lu and S. Zhong, 2018. Recover overnight? Work interruption and worker productivity. Management Science, 64(8): 3489-3500.Available at: https://doi.org/10.1287/mnsc.2017.2792.

Dietz, D.C., 2011. Practical scheduling for call center operations. Omega, 39(5): 550-557.Available at: https://doi.org/10.1016/j.omega.2010.12.001.

Froehle, C.M. and D.L. White, 2013. Interruption and forgetting in knowledge-intensive service environments. Production & Operations Management, 23(4): 704-722.

Gong, Q., S. Wang and K.K. LAi, 2009. Stochastic analysis of TPS: Expose and eliminate variability by highly specifying WCP. International Journal of Production Research, 47(3): 751-775.Available at: https://doi.org/10.1080/00207540701452167.

He, X.F., S. Wu and Q.L. Li, 2007. Production variability of production lines. International Journal of Production Economics, 107(1): 78-87.Available at: https://doi.org/10.1016/j.ijpe.2006.05.014.

Ho, T.-H., N. Lim, S. Reza and X. Xia, 2017. OM forum—causal inference models in operations management. Manufacturing & Service Operations Management, 19(4): 509-525.Available at: https://doi.org/10.1287/msom.2017.0659.

Hopp, W.J. and M.L. Spearman, 1996. Factory physics. Irwin, Chicago: Foundations of Manufacturing Management.

Hunter, E. and C. Wu, 2016. Give me a better break: Choosing workday break activities to maximize resource recovery. The Journal of Applied Psychology, 101(2): 302-311.Available at: https://doi.org/10.1037/apl0000045.

Inman, R.R., 1993. Inventory is the flower of all evil. Production and Inventory Management Journal, 34(4): 41-45.

Kapuscinski, R. and S. Tayur, 1999. Variance vs. Standard deviation: Variability reduction through operations reversal. Management Science, 45(5): 765-767.

Kc, D.S., 2013. Does multitasking improve performance? Evidence from the emergency department. Manufacturing & Service Operations Management, 16(2): 168-183.Available at: https://doi.org/10.1287/msom.2013.0464.

Kc, D.S. and C. Terwiesch, 2009. Impact of workload on service time and patient safety: An econometric analysis of hospital operations. Management Science, 55(9): 1486-1498.Available at: https://doi.org/10.1287/mnsc.1090.1037.

Kc, D.S. and C. Terwiesch, 2011. The effects of focus on performance: Evidence from California hospitals. Management Science, 57(11): 1897-1912.Available at: https://doi.org/10.1287/mnsc.1110.1401.

Kim, S., Y.A. Park and Q. Niu, 2016. Micro-break activities at work to recover from daily work demands. Journal of Organizational Behavior, 38(1): 28-44.

Klassen, R.D. and L.J. Menor, 2007. The process management triangle: An empirical investigation of process trade-offs. Journal of Operations Management, 25(5): 1015-1034.Available at: https://doi.org/10.1016/j.jom.2006.10.004.

Kolbeinsson, A., P. Thorvald and J. Lindblom, 2014. Context aware interruptions: Existing research and required research. AHFE2014 K. Stanney, K.S. Hale (Eds.), Advances in Cognitive Engineering and Neuroergonomics (2014). pp: 260-272.

Kolbeinsson, A., P. Thorvald and J. Lindblom, 2017. Coordinating the interruption of assembly workers in manufacturing. Applied Ergonomics, 58: 361-371.Available at: https://doi.org/10.1016/j.apergo.2016.07.015.

Lee, H.L. and C. Billington, 1993. Material management in decentralized supply chains. Operations Research, 41(5): 835-847.Available at: https://doi.org/10.1287/opre.41.5.835.

Lee, H.L. and C.S. Tang, 1998. Variability reduction through operations reversal. Management Science, 44(2): 162-172.Available at: https://doi.org/10.1287/mnsc.44.2.162.

Li, J.-W., 2003. Improving the performance of job shop manufacturing with demand-pull production control by reducing set-up/processing time variability. International Journal of Production Economics, 84(3): 255-270.

Lu, Y., A. Heching and M. Olivares, 2014. Productivity analysis in services using timing studies. Working Paper, Columbia University, New York.

Narayanan, S., S. Balasubramanian and J.M. Swaminathan, 2009. A matter of balance: Specialization, task variety, and individual learning in a software maintenance environment. Management Science, 55(11): 1861-1876.Available at: https://doi.org/10.1287/mnsc.1090.1057.

Pang, G. and W. Whitt, 2009. Service interruptions in large-scale service systems. Management Science, 55(9): 1499-1512.Available at: https://doi.org/10.1287/mnsc.1090.1038.

Pasquale, V.D., F. Fruggiero, R. Iannone and S. Miranda, 2017. A model for break scheduling assessment in manufacturing systems. Computers & Industrial Engineering, 111: 563-580.Available at: https://doi.org/10.1016/j.cie.2017.05.017.

Roubos, A., G. Koole and R. Stolletz, 2012. Service-level variability of inbound call centers. Manufacturing & Service Operations Management, 14(3): 402-413.Available at: https://doi.org/10.1287/msom.1120.0382.

Sanderson, P.M. and T. Grundgeiger, 2015. How do interruptions affect clinician performance in healthcare? Negotiating fidelity, control, and potential generalizability in the search for answers. International Journal of Human-Computer Studies, 79: 85-96.Available at: https://doi.org/10.1016/j.ijhcs.2014.11.003.

Schonberger, R.J., 1982. Japanese manufacturing techniques: Nine hidden lessons in simplicity. New York: The Free Press.

Simchi-Levi, D., 2014. OM forum—OM research: From problem-driven to data-driven research. Manufacturing & Service Operations Management, 16(1): 2-10.Available at: https://doi.org/10.1287/msom.2013.0471.

Staats, B.R. and F. Gino, 2012. Specialization and variety in repetitive tasks: Evidence from a Japanese bank. Management Science, 58(6): 1141-1159.Available at: https://doi.org/10.1287/mnsc.1110.1482.

Tan, T.F. and S. Netessine, 2014. When does the devil make work? An empirical study of the impact of workload on worker productivity. Management Science, 60(6): 1574-1593.Available at: https://doi.org/10.1287/mnsc.2014.1950.

Trougakos, J.P., D.J. Beal, S.G. Green and H.M. Weiss, 2008. Making the break count: An episodic examination of recovery activities, emotional experiences, and positive affective displays. Academy of Management Journal, 51(1): 131-146.Available at: https://doi.org/10.5465/amj.2008.30764063.

Trougakos, J.P., I. Hideg, B.H. Cheng and D.J. Beal, 2014. Lunch breaks unpacked: The role of autonomy as a moderator of recovery during lunch. Academy of Management Journal, 57(2): 405-421.Available at: https://doi.org/10.5465/amj.2011.1072.

Whitt, W., 1995. Variability functions for parametric-decomposition approximations of queueing networks. Management Science, 41(10): 1704-1715.Available at: https://doi.org/10.1287/mnsc.41.10.1704.

Wu, K., Y. Zhou and N. Zhao, 2016. Variability and the fundamental properties of production lines. Computers & Industrial Engineering, 99: 364-371.Available at: https://doi.org/10.1016/j.cie.2016.04.014.

APPENDIX

Appendix A

Figure-A1. Density distribution of working days.

Source: Developed by authors according to data sources from the selected manufacturing company.

Table-A1. The mean and standard deviation from data cleaning under 1.5 principle.

Stages
Mean
Std
Mean+1.5std
Stage 1
9.805785276
14.90138151
32.15785753
Stage 2
9.601312061
15.53169801
32.89885907
Stage 3
9.877705694
15.84673547
33.6478089
Stage 4
10.06244439
16.5711442
34.91916069
Stage 5
11.5406807
18.94914722
39.96440153
Mean
10.17758562
16.36002128
34.71761755

Source: Developed by authors according to data sources from the selected manufacturing company.

Appendix B

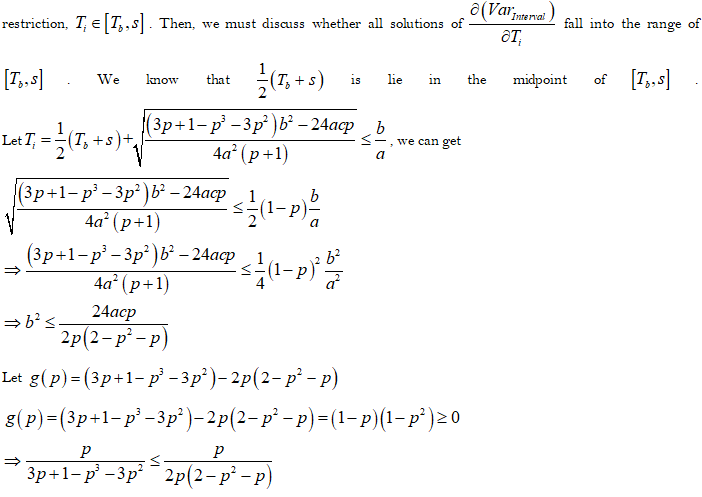
Proof of Theorem 1

Figure-A2. The difference of workstation variability between production style 1 and 2 of Case 1.

Source: Developed by authors according to our theory model.

Figure-A3. The difference of workstation variability between production style 1 and 2 of Case 2.

Source: Developed by authors according to our theory model.

Proof of Theorem 2

From Figure 4, we can calculate productivity’s mean and variance of production line by Equation 5 and 6.

Proof of Theorem 3

Views and opinions expressed in this article are the views and opinions of the author(s), Asian Economic and Financial Review shall not be responsible or answerable for any loss, damage or liability etc. caused in relation to/arising out of the use of the content.