IMPACT OF GLOBAL LOW INTEREST RATES TO THE CAPITAL FLOWS AND FINANCIAL VULNERABILITY OF SMALL OPEN ECONOMIES

Qiao Wang1 --- Haizhen Yang2+ --- Xiangjuan Cheng3

1,2 School of Economics and Management, University of Chinese Academy of Sciences, Beijing, China.
3 School of Economics and Management, University of Chinese Academy of Sciences, Beijing, China.

ABSTRACT

In this paper, we develop a dynamic stochastic general equilibrium (DSGE) model with financial frictions, to explore how the exogenous global low-interest-rate shock affect the small open economies, and study the effects of two macroprudential policies for protecting the external sector and financial system. We find that, when there are negative world interest rate shocks to ultra-low levels, small open economies will experience capital inflow surge, amplified domestic business cycles and increased financial leverage, leading to accumulation of financial vulnerability. However, the liability-side macroprudential policy depending on foreign debt leverage is effective in smoothing the fluctuations of economic variables. The other asset-side macroprudential policy depending on bank’s total asset expansion works in a similar but less effective way. The research results support that it is reasonable for emerging economies to adopt macroprudential policies in the current low-interest-rate environment, and the liability-side macroprudential policy linking with foreign debt leverage is more effective.

Keywords: Global low interest rate, DSGE, Capital flows, Financial vulnerability, Macroprudential policies, Open economy macroeconomics.

JEL Classification: C54, F32, F41.

ARTICLE HISTORY: Received: 20 January 2020, Revised: 24 February 2020, Accepted: 26 March 2020, Published: 14 April 2020

Contribution/ Originality: This study contributes to the existing literature by developing a dynamic stochastic general equilibrium (DSGE) model with financial frictions, to explore how the exogenous global low-interest-rate shock affect the small open economies, and study the effects of two macroprudential policies for protecting the external sector and financial system.

1. INTRODUCTION

The Global Financial Crisis (GFC) and the slow recovery from its aftermath promoted ultra-loose monetary policies among central banks over the past decade. Many central banks in advanced economies quickly lowered policy interest rates to zero or near zero levels, to restart growth and combat persistent deflationary risks. Ten years later after the GFC, with the current sluggish world economy, many central banks started to lower interest rates again 1 and some even used unconventional monetary policies (UMPs), pushing policy interest rates even into negative territory. Moreover, together with persistent macroeconomic headwinds since the GFC (like demographic changes leading to decline in consumption, shortage of safe assets leading to global saving slut and depressing safe returns, and many economies have been with secular stagnation for quite a long time ((Bernanke, 2005; Caballero, 2018; Summers, 2014)) both the nominal and real interest rates are at historical lows across advanced economies (Del Negro, Giannone, Giannoni, & Tambalotti, 2019). Countries elsewhere were faced by spillovers from extremely easy global liquidity conditions and attendant volatile capital flows and financial stability risks2 in a world with increasingly integrated financial markets. The spillover impacts of global low interest rates have raised serious concerns for countries elsewhere. The ensuing cross-border large and volatile capital inflows and its resulting financial vulnerability have created challenges to policy makers. Analysis of the impact of global low interest rates on the capital flows and financial vulnerability will be helpful for giving advice to policy makers to manage volatile capital flow movements and develop precautionary instruments to guarantee financial stability.

This paper is relative to several strands of literature. Global interest rates, mainly refer to interest rates of large advanced economies (especially the US), have long been a key factor leading to extreme capital flow movements and risks. The relationship between interest rates of advanced economies and capital flow movements of countries elsewhere, have been well studied in the empirical literature (Forbes & Warnock, 2012; Ghosh, Qureshi, Kim, & Zalduendo, 2014; Yang, Shi, Wang, & Jing, 2019). The interest rates of advanced economies usually have a significant negative relationship with capital inflows to EMEs. In contrast to existing extensive empirical literature, the main contribution of this paper is that we build an open economy DSGE model of small open economies, to further explore the dynamic influence of the current exogenous global low-interest-rate shocks to capital flows, domestic business cycles and financial vulnerability of small open economies.

This paper is also related to open economy DSGE analysis, which is widely used in analyzing the impact of exogenous shocks and policy analysis. After the GFC, researchers started to introduce financial frictions into financial intermediaries to make previous DSGE models more reality (Gertler & Kiyotaki, 2010). In this paper, we develop a small open economy model with financial frictions based on the models proposed by Gertler and Kiyotaki (2010) and Kitano and Takaku (2017). Existence of financial frictions means that bankers have incentives to divert assets and it is easier for bankers to divert foreign borrowing compared to domestic deposits. Another contribution of this paper is that, via introducing a variant of the banking sector, we refine the DSGE models to capture some form of financial fragility to foreign or global economy shocks (Adrian & Shin, 2009; Ghilardi & Peiris, 2016): the fraction of divertible assets by bankers is time varying, and related to the changes in the exogenous global interest rate.

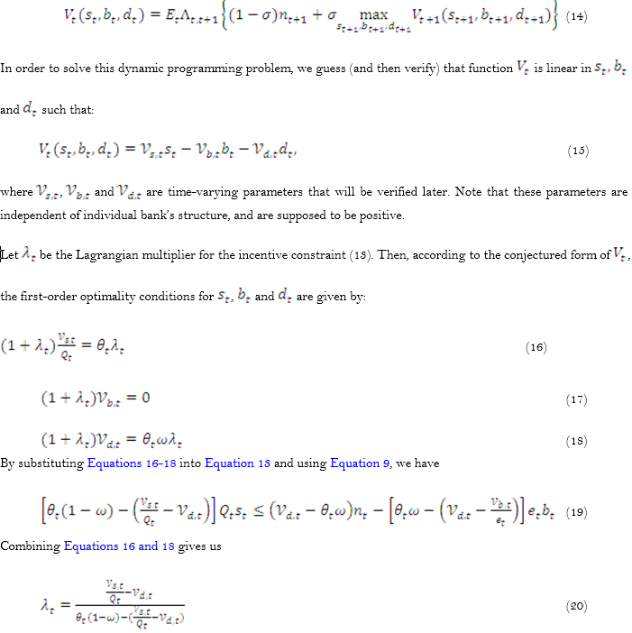
Another related strand of literature focuses on capital controls and macroprudential policies. Many countries have implemented various capital control and macroprudential instruments to deal with the extreme capital flow movements, economic fluctuations and financial vulnerability risks from external shocks3 . Different kinds of instruments and their effectiveness have been well studied in previous literature (De Paoli & Lipinska, 2013; Farhi & Werning, 2014; Liu & Spiegel, 2015; Ostry, Ghosh, & Korinek, 2012; Schmitt-Grohé & Uribe, 2016). This paper examines the effectiveness of macroprudential policies in dealing with exogenous global low-interest-rate shocks and compares two different instruments. The two macroprudential policy instruments considered in this paper include a liability-side macroprudential policy instrument depending on bank’s foreign debt leverage 4, and an asset-side instrument depending on bank’s total asset expansion. More specifically, the liability-side macroprudential policy instrument depends on the proportion of bank’s foreign debt in total asset, and the asset-side one depends on the bank’s asset expansion. The results show that macroprudential policies are effective in limiting the world interest rate shock and the foreign-liability-related macroprudential policy is more effective than the other one for the net capital inflows, domestic business cycle amplification and financial leverage are much smaller during the scenario.

The remainder of this paper is arranged as follows. In Section 2, we present a small open economy DSGE model with macroprudential policies, and we calibrate the parameters. In Section 3, we present the main results of this paper. Specifically, we examine the shocks of global low interest rates to the small open economies with and without macroprudential policies. Then we examine the validity of the results using the real data from small open economies in Section4. Section 5 concludes this paper.

2. THE RBC-DSGE MODEL WITH MACROPRUDENTIAL POLICIES FOR SMALL OPEN ECONOMIES

To explore the impact of global low interest rates, we build a real business cycle dynamic stochastic general equilibrium model (RBC-DSGE model) of a small open economy, with the world interest rate as an exogenous variable. The framework of our model is presented as follows Figure 1.

The model consists of households, banks, non-financial firms (goods producers and capital producers), and the government. This is a model with infinite periods and only intra-temporal trade. We assume there is a representative household, who consumes domestic and foreign goods, and provides labor to goods producers and deposits to banks. Banks raise funds from domestic households and foreign borrowing, and provide loans to domestic capital producers. Capital producers raise funds from banks to buy domestic goods (from goods producers) and foreign goods as inputs, producing new capitals and sell them to goods producers. Each goods producer produces output using an identical constant return to scale (CRS) Cobb-Douglas production function with capital and labor as inputs. Goods producers buy the capital from capital producers and pay wages to the labor provided by households. We assume that the capital, which could be viewed as intermediate goods for producing final goods, is not mobile, but labor is perfectly mobile across firms and countries. To deal with foreign shocks from global low interest rates, the government imposes macroprudential policies by imposing taxes on the banks’ excessive asset and foreign debt.

Figure-1. The framework of the model.

2.1. Households

Following Kitano and Takaku (2017) there is an infinite lived representative household with GHH utility preference 5. the households maximize the following expected lifetime utility:

2.2. Banks

In order to finance lending in each period, banks raise funds in both domestic and international markets.

We assume that, at the beginning of each period, banks accept deposits from domestic households and borrow money from foreign investors, and then lend to final goods producers. For each bank, the flow-of-funds constraint is given by:

Because the fund suppliers recognize the bank’s incentive to divert funds, they will not lend to the banks unless banks satisfy the following incentive constraint:

2.3. Goods Producers

The final goods producers operate in a fully competitive market and produces domestic goods using capital and labor according to the CRS Cobb-Douglas function:

2.4. Capital Producers

Capital producers acquire new capitals from final domestic and foreign goods, and subject to adjustment costs.

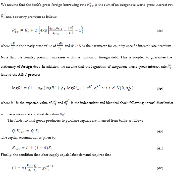
2.5. Government

Government imposes taxes on the foreign debt and households, and spend on domestic and foreign goods. The government’s budget constraint is given by:

where S is the steady-state value of St. Here, the tax rate on banks is an increasing function of the percentage deviation of bank’s asset from non-stochastic stationary steady state. Thus, government raises the tax rate when banks excessively expand its asset quantity, which leads to accelerated credit growth.

2.6. International Market

Because we are considering a small open economy, the home country will not affect the price level in the foreign countries.

2.7. Market Clearing

In order to close the model, we require market clearing in goods, capital and labor.

2.8. Calibration

We choose the parameters based on existing literatures and calibration. The values of parameters are summarized in Table 1.

Table-1. Parameter calibration.

3. SIMULATION RESULTS OF THE IMPACT OF GLOBAL LOW INTEREST RATES

In the RBC-DSGE model for a small open economy in Section 2, the world interest rate is the exogenous variable and the domestic macroeconomic and external-sector variables are the endogenous variables. Based on this framework, in this section, we explore the impact of global low interest rates to small open economies though simulating a negative world interest rate shock. Specifically, we study how the small open economy responses to the unexpected decline in world interest rates.

3.1. Impulse Responses of Main Variables to Negative Shocks on Global Interest Rates without Macroprudential Policies

We first make a simulation with an unanticipated average annual 100 basis points decrease in exogenous global interest rate, which matches the current predictions that the US will probably reduce the interest rate of total 100 basis points through this year to fight the world economic contraction 7.

3.2. Impulse Responses of Main Variables to Negative Shocks on Global Interest Rates with Macroprudential Policies

Based on the simulation results of the DSGE model with macroprudential policies, we examine the effectiveness of macroprudential policies and compare two different instruments. The impulse responses of main variables to a decrease in global interest rates with and without macroprudential policies are shown in Figure 3. The black solid, red dash and blue dotted lines in Figure 3 are the cases with the liability-side macroprudential policy with a focus on foreign borrowing (45), the asset-side macroprudential policy, (46) and no macroprudential policy with , respectively.

Figure-2. Impulse responses to negative world interest rate shock without macroprudential policies.

Source: Authors’ calculation in MATLAB.

Figure-3. Impulse responses to negative world interest rate shock. Controls 1 and 2 correspond to the liability-side macroprudential policy limiting excessive foreign borrowing(45) and the asset-side macroprudential policy with a focus on domestic bank’s asset expansion(46), respectively.

Now we commence to compare the cases with and without macroprudential policies in Figure 3. We can see that the effects of an exogenous decrease in foreign interest rates on are larger when there are no macroprudential policies. Moreover, the economy with the liability-related macroprudential policy limiting excessive foreign debt (45) experiences smaller movements in real exchange rate, capital inflows, foreign debt and financial leverage than the economy with the asset-side macroprudential policy (46). Therefore, we can conclude that the liability-side macroprudential policy with a focus on foreign debt is more effective than the asset-side macroprudential policy with a focus on domestic asset expansion(this could also be viewed as credit growth) in avoiding large fluctuation caused by the sudden decline in the world interest rate of small open economies.

3.3. Impulse Responses of Main Variables under Larger Shocks

In this subsection, we examine the effects of different macroprudential policies under larger negative shocks on world interest rates. Specifically, we set the standard deviation twice as in the benchmark case. The impulse responses of main variables with and without macroprudential policies are summarized in Figure 4.

Figure-4. Impulse responses to larger negative world interest rate shock.

In Figure 4, we can see that the patterns of responses of main variables to the larger exogenous shocks are the same as those of benchmark case in Figure 3, except that the sizes of fluctuations are further amplified. For example, the current account to output ratio worsens by about 2.5% due to large shocks rather than 1% in previous small shocks, which means the larger capital inflows under large global interest rate shock. Moreover, it is worth to pay attention to the large difference of foreign debt B with and without macroprudential policies in Figure 4. The foreign debt B increases 15% after eighteen periods under the large shocks if no macroprudential policy is applied, while the largest increase in B is less than 7% with the liability-side macroprudential policy (45). This result strongly supports the validity of the macroprudential policies adopted by EMEs in order to protect their financial system from risks of capital inflow surges and financial vulnerability accumulation due to global low interest rates.

4. MODEL VALIDATION IN REAL WORLD

To examine the validity of the model’s conclusion in Section 3, we turn to check whether the previous real data of small open economies is consistent with the model during a shock of negative world interest rate. The criteria for screening small open economies are as follows: (1) Whether a country is small or not is based on its percentage to the world GDP, and the threshold chosen in this paper is 3 percent. The US, China, Japan, Germany, France, UK, and India are chosen as large economies, which take more than 57 percent of the world GDP together. (2) Whether a country is open or not is based on the capital control database by Fernández, Klein, and Rebucci (2016). According to this database, countries will be identified as open if the values of capital control indicators are below 0.5 8. Specifically, the following indicators are included in the identification process: overall restrictions index, average bond restrictions, average money market restrictions, average commercial credits restrictions, average financial credits restrictions. Based on WEO’s GDP data in 2018 and restricted by data availability of capital control, 81 countries are chosen as small open economies, including 29 advanced economies, and 52 emerging and developing economies.

Figure-5. CA dynamics of emerging and developing economies, and advanced small open economies.

Figure-6. CA Dynamics of emerging and developing small open economies in different regions.

Figure-7. CA Dynamics of advanced economies in different regions.

From Figure 5 and 7, we can see that, in the post-GFC period, when there is a negative external world interest rate shock (the shadow area), the current account conditions of small open economies were deteriorated both in EMEs and advanced economies. As CA and net capital flows are the opposite sites of a mirror, deteriorated CA means net capital inflows surged in small open economies for both advanced economies and EMEs as a whole, when the negative global interest rate shock happened.

Regionally, after the external negative world interest rate shock during 2007-2010, emerging and developing Asia experienced increasing net capital inflows for almost 5 years during the global low interest rate period after global financial crisis. This situation reversed from the Fed’s announcement of tapering its quantitative easing policy, after which the US Treasury yields surged. The increasing net capital inflows to emerging and developing Europe reversed earlier compared to the Asia due to the European Sovereign Debt Crisis. While capital inflows to Middle East, North Africa and Sub-Saharan Africa behaved in exactly the opposite way, for the current account conditions improved since the negative world interest rate shock and deteriorated sharply since 2014. This is possibly because the main factors affecting the capital inflows to these areas are commodity prices. The capital inflows to these areas declined with most of the commodity prices started to decline, and reversed for many commodity prices started to go up since 2016.

As for advanced economies, Euro Zone and other developed economies experienced capital outflows during the global low interest rate period since the external negative world interest rate shock, and the capital outflows continued to increase before 2013. This implies that capital flowed from Euro Zone and other developed economies to elsewhere during the global low interest rate period, and one possible explanation is that the interest rates in these economies are highly related to the US. While things are quite different for Canada, for Canada experienced continuous large net capital inflows during the global low interest rate period since the external negative world interest rate shock during 2007-2010.

5. CONCLUSIONS

In this paper, we have developed a RBC-DSGE model with financial frictions and different macroprudential policies for small open economies. The financial frictions are characterized by the time-varying divertible proportion of banks’ assets and differences in divertibility of bankers in domestic and foreign debt. We then explore how the exogenous low world interest rate shocks affect the small open economies and study the effectiveness of two macroprudential policies for protecting the external sector and financial system from the global low interest rate shocks. It turns out that the foreign debt, capital, output and financial leverage of small open economies increase while the current account to output ration deteriorates (which means capital inflow surges) when the world interest rate experiences a negative shock. The sizes of economic fluctuations exaggerate under larger shocks on the world interest rate. We find that the liability-side macroprudential policy limiting excessive foreign borrowing is effective in smoothing the responses of economy variables but the asset-side one with a focus on banks’ total assets expansion works in a less effective way. The real data of small open economies illustrates that the EMEs and advanced economies both experienced capital inflow surges when there was a negative world interest rate shock to ultra-low levels, which is consistent with the conclusion of the model. However, for the regional data, it is not always consistent with the model’s conclusion.

Funding: This research is supported by National Natural Science Foundation of China (NSFC Grant Numbers: 71532013).

Competing Interests: The authors declare that they have no competing interests.

Acknowledgement: All authors contributed equally to the conception and design of the study.

REFERENCES

Adrian, T., & Shin, H. S. (2009). Money, liquidity, and monetary policy. American Economic Review, 99(2), 600-605.Available at: https://doi.org/10.1257/aer.99.2.600.

Aguiar, M., & Gopinath, G. (2007). Emerging market business cycles: The cycle is the trend. Journal of Political Economy, 115(1), 69-102.Available at: https://doi.org/10.1086/511283.

Akinci, O., & Queralto, A. (2014). Banks, capital flows and financial crises. FRB International Finance Discussion Paper(1121).Available at: https://doi.org/10.2139/ssrn.2531685.

Aoki, K., Benigno, G., & Kiyotaki, N. (2018). Monetary and financial policies in emerging markets. Unpublished paper. Retrieved from: http://personal.lse.ac.uk/BENIGNO/ABKBankModel3-24-2016_GB_revision.pdf .

Bernanke, B. S. (2005). The global saving glut and the US current account deficit.

Caballero, R. J. (2018). Risk-centric macroeconomics and safe asset shortages in the global economy: An illustration of mechanisms and policies: MIT.

Cook, D. (2004). Monetary policy in emerging markets: Can liability dollarization explain contractionary devaluations? Journal of Monetary Economics, 51(6), 1155-1181.Available at: https://doi.org/10.1016/j.jmoneco.2003.12.002.

De Paoli, B., & Lipinska, A. (2013). Capital controls: a normative analysis. FRB of New York Staff Report(600).

Del Negro, M., Giannone, D., Giannoni, M. P., & Tambalotti, A. (2019). Global trends in interest rates. Journal of International Economics, 118, 248-262.Available at: https://doi.org/10.1016/j.jinteco.2019.01.010.

Devereux, M. B., Lane, P. R., & Xu, J. (2006). Exchange rates and monetary policy in emerging market economies. The Economic Journal, 116(511), 478-506.Available at: https://doi.org/10.1111/j.1468-0297.2006.01089.x.

Farhi, E., & Werning, I. (2014). Dilemma not trilemma? Capital controls and exchange rates with volatile capital flows. IMF Economic Review, 62(4), 569-605.Available at: https://doi.org/10.1057/imfer.2014.25.

Fernández, A., Klein, M. W., & Rebucci, A. (2016). Capital control measures: A new dataset. IMF Economic Review, 64(3), 548-574.Available at: https://doi.org/10.2139/ssrn.1815931.

Forbes, K. J., & Warnock, F. E. (2012). Capital flow waves: Surges, stops, flight, and retrenchment. Journal of International Economics, 88(2), 235-251.Available at: https://doi.org/10.1016/j.jinteco.2012.03.006.

Forbes., K., Fratzscher, M., Kostka, T., & Straub, R. (2016). Bubble thy neighbour: Portfolio effects and externalities from capital controls. Journal of International Economics, 99, 85-104.Available at: https://doi.org/10.1016/j.jinteco.2015.12.010.

Gertler, M., & Kiyotaki, N. (2010). Financial intermediation and credit policy in business cycle analysis. Handbook of Monetary Economics. Elsevier, 3, 547-599.Available at: https://doi.org/10.1016/B978-0-444-53238-1.00011-9.

Gertler., M., & Karadi, P. (2011). A model of unconventional monetary policy. Journal of Monetary Economics, 58(1), 17-34.Available at: https://doi.org/10.1016/j.jmoneco.2010.10.004.

Ghilardi, M. F., & Peiris, S. J. (2016). Capital flows, financial intermediation and macroprudential policies. Open Economies Review, 27(4), 721-746.Available at: https://doi.org/10.1007/s11079-016-9389-9.

Ghosh, A. R., Qureshi, M. S., Kim, J. I., & Zalduendo, J. (2014). Surges. Journal of International Economics, 92(2), 266-285.Available at: https://doi.org/10.1016/j.jinteco.2013.12.007.

Gurnain, K. P. (2017). Policy rules for capital controls. BIS Working Paper, No 670. BIS, Swizerland.

Independent Evaluation Office. (2019). IMF advice on unconventional monetary policies. Washington DC: IMF.

Kitano, S., & Takaku, K. (2017). Capital controls and financial frictions in a small open economy. Open Economies Review, 28(4), 761-793.Available at: https://doi.org/10.1007/s11079-017-9441-4.

Liu, Z., & Spiegel, M. M. (2015). Optimal monetary policy and capital account restrictions in a small open economy. IMF Economic Review, 63(2), 298-324.Available at: https://doi.org/10.1057/imfer.2015.8.

Magud, N. E., Reinhart, C. M., & Rogoff, K. S. (2018). Capital controls: Myth and reality. Annals of Economics and Finance, 19(1), 1–47.

Mendoza, E. G. (1991). Real business cycles in a small open economy. The American Economic Review, 797-818.Available at: https://doi.org/10.2307/2006643.

Neumeyer, P. A., & Perri, F. (2005). Business cycles in emerging economies: The role of interest rates. Journal of Monetary Economics, 52(2), 345-380.Available at: https://doi.org/10.1016/j.jmoneco.2004.04.011.

Ostry, M. J. D., Ghosh, M. A. R., & Korinek, M. A. (2012). Multilateral aspects of managing the capital account: International Monetary Fund.

Ravenna, F., & Natalucci, F. M. (2008). Monetary policy choices in emerging market economies: The case of high productivity growth. Journal of Money, Credit and Banking, 40(2-3), 243-271.Available at: https://doi.org/10.1111/j.1538-4616.2008.00112.x.

Schmitt-Grohé, S., & Uribe, M. (2016). Downward nominal wage rigidity, currency pegs, and involuntary unemployment. Journal of Political Economy, 124(5), 1466-1514.Available at: https://doi.org/10.1086/688175.

Summers, L. H. (2014). Reflections on the ‘new secular stagnation hypothesis’. In Secular Stagnation: Facts, Causes and Cures, edited by C Teulings and R Balwin (pp. 27-38). London: CEPR Press.

Unsal, D. F. (2011). Capital flows and financial stability: Monetary policy and macroprudential responses: International Monetary Fund.

Yang, H., Shi, F., Wang, J., & Jing, Z. (2019). Investigating the relationship between financial liberalization and capital flow waves: A panel data analysis. International Review of Economics & Finance, 59, 120-136.Available at: https://doi.org/10.1016/j.iref.2018.08.011.

Views and opinions expressed in this article are the views and opinions of the author(s), Asian Economic and Financial Review shall not be responsible or answerable for any loss, damage or liability etc. caused in relation to/arising out of the use of the content.


Footnotes:

1. In the year of 2019, more than 30 central banks started to lower policy interest rates, including Ghana, India, Azerbaijan, Ukraine, Kazakhstan, Malaysia, Sri Lanka, Philippines, Iceland, Chile, Australia, Russia, South Africa, Saudi Arabia, UAE, Bahrain, South Korea, Indonesia, US, Brazil, Egypt, New Zealand, Thailand, Hong Kong, Mexico, Paraguay, Denmark, ECB, China.

4. This is also viewed as a capital control instrument limiting real exchange rate appreciation in cyclical upturns. As this instrument also limits excessive (foreign) borrowing, it is viewed as a liability-side macroprudential policy in this paper (Gurnain, 2017). We don’t further discuss the relationship between capital controls and macroprudential policies in this paper.

5. GHH preference has been widely adopted in many open economy models. See Mendoza (1991) and Neumeyer and Perri (2005) for example.

6. Please see the following website for details:
http://personal.lse.ac.uk/BENIGNO/ABKBankModel3-24-2016_GB_revision.pdf

7. Please see details in the following website: https://www.bloomberg.com/news/articles/2020-03-01/fed-ready-to-cut-rates-despite-doubt-they-can-fix-virus-fallout
8. The values of the capital control database range from 0 to 1. Larger values represent more restrictions.