INVESTMENT DECISIONS IN EMERGING MARKET: DEMOGRAPHIC ANALYSIS OF INDIVIDUAL INVESTOR IN INDONESIA STOCK EXCHANGE
1,2School of Business, IPB University, Indonesia.
3IPMI College of Management, IPMI International Business School, Indonesia.
4PT. Adhimix Precast, Indonesia.
ABSTRACT
The number of individual investors in Indonesia has continued to grow in recent times and has reached 97.67% of the total investors in Indonesia. Due to this high number, the investment decisions of individual investors should be an important benchmark in the movement of Indonesia’s capital market. Investment behavior between individuals is very different and easy to change, but there is a pattern or model that can provide an overview of the activities carried out. Not only psychological factors, but demographic factors are also suspected to be determinants that influence investors’ decisions. The diversity of investment behaviors can be described by stock ownership. In Indonesia, blue-chip stocks are represented in the LQ45 index group. Although investors have different characteristics, their demographics are often used as second references to determine investment behavior. This study aims to determine the investment behavior using four important inherent characteristics of investors including gender, age, occupation, and income. The secondary data obtained from 3,911 investors were analyzed using analysis of variance (ANOVA). The results showed a unique pattern of investment behavior; therefore, the demographics of investors need to be analyzed regularly.
Keywords:ANOVA, Demographics, Investment behavior, Individual investor.
ARTICLE HISTORY: Received: 23 September 2021, Revised: 7 January 2022, Accepted: 21 January 2022, Published: 1 February 2022
JEL Classification: R53, J11, G11, H54, G53, R51.
Contribution/Originality: This study contributes to the existing literature on behavioral finance through demographic and investment decisions in emerging markets. This study uses new estimation methodology by using big data from real individual investor transactions and portfolios. The originality of this research is based on the empirical nature of the data, which has never been done by other researchers related to finance
Companies look for sources of funds in the general capital market. The funds obtained are often used for development, expansion, and increases in operational capital. Furthermore, the capital market functions as a bridge (connection) between companies and capital owners for mutual benefits. In Indonesia, it continues to develop due to the support from regulations and socialization in the community. Therefore, the characteristics of investors are increasingly diverse.
Investors select and place funds in stocks based on strong cognitive and emotional influences. According to Tanusdjaja (2018), investors select profitable and risk-balanced stocks. Gender is an interesting issue that describes investment decisions in the capital market. According to studies, gender-based differences in making risky decisions are an important part of investment activities. Investors are characterized by various patterns of behavior, such as risk-loving and risk-averse. These behaviors are described by the composition of blue-chip stock ownership, where financial behavior is studied using investor income grouping.
The financial behavior theory, developed by Barber & Odean (2001), is always associated with demographic descriptions. According to this theory, there are important aspects that are inherent and determine every behavior. For instance, employment enhances capital availability in investing and shaping behavior to willingly face risks and increase wealth. Ibrahim & Adib (2018) reported that investor behavior could be different due to the background work, which illustrates the level of security in their work.
The capital market plays an essential role in encouraging the economic development of a country. It also helps companies in their quest to obtain additional capital and increase wealth for investors. This emphasizes the need to examine related psychological phenomena based on different occupations. Ricciardi & Simon (2000) stated that investment behavior has various patterns because investors have different backgrounds.
Gender is a basic factor that can influence investment behavior and relates to the differences in finance behavior. Eckel & Grossman (2008) stated that females are more sensitive to risk than males. This is reflected in all aspects of their decision-making, including the choice of profession that affects income, investment decisions, and products to be purchased. According to Barber & Odean (2001), males are more willing to take risks in investing due to psychological factors that make them more confident than females.
The differences in investment behavior between genders is an important concern, especially to companies, investment managers, and the government. These differences can be used to encourage a better and expected capital market investment climate. Furthermore, they can be used as information related to the behavior in mapping investment activities.
The occupation of investors can be divided into several groups, including 1) private employees, 2) state civil servants, 3) academics, 4) entrepreneurs, 5) unemployed, and 6) others. These groups have internalized similar attitudes in making important decisions. In investment activities, the main occupation can initiate an attitude in the face of risk. Initially, for demographic data, 17,849 data were obtained from securities investors who are members of the Indonesia Stock Exchange. Then the selection was carried out by only taking individual investors, which were 16,177 customers from the entire data. Then observed data on investors who are actively conducting transactions, where it can be seen from the ownership of shares in the investor's portfolio at the end of the year. This study only uses demographic data of individual investors who have portfolios in the form of stocks. In the end, 3,911 demographic data of individual investors who have stock portfolios and are actively transacting are used. MacCrimmon & Wehrung (1986) stated that employees tend to be less willing to take big risks than entrepreneurs because they look at each other differently. This shows that private employees should be more careful in their behavior. Entrepreneurs are used to dealing with risks, and the bigger the risk, the bigger the income.
Saung & Hanna (1996) established that employees tend to make every decision carefully, minimize risk, and have a preference for safe assets. This is because the main purpose of the investment is to maintain the asset value. They know that when assets are not managed properly, their value significantly reduces. Therefore, the employee already knows the importance of investing their assets. Some Indonesian civil servants are stereotypic against financial security until retirement. They have attracted much attention and have been invited to invest in the capital market. Moreover, they are perceived to be employees that often look for safety, and therefore have the same tendencies regarding investment activities in the capital market.
Investors' occupations need to be analyzed to determine their level of courage in facing risks from the percentage of LQ45 stock ownership. This is expected to help in identifying, analyzing, and classifying investment risks in the capital market, and the results should be useful to decision-makers and regulators regarding investment behavior and stock ownership. Income from investors provides an overview of the differences in investment behavior due to the various motives of financial behavior, such as maintaining and increasing wealth. According to Loke (2017), investment activities can be divided into low and high incomes. The high-income groups tend to take big but measurable risks, while low-income people select good investments.
Amari, Salhi, & Jarboui (2020) reported that grouping investors based on income gives a different picture in each group. Specifically, those with lower incomes often invest in savings and time deposits. According to Arianti (2018), regression shows that the higher the income, the higher the impact on investment decisions. Nguyen & Schuessler (2012) stated that income distribution influences investment decisions, though there are significant influences from external aspects in this investment model. The difference in investor income determines whether someone takes a greater risk due to an inner desire to increase wealth (Abbott, Parker, & Peters, 2002).
Investment behavior relates to the courage to take risks associated with the ownership of stocks indexed in LQ45. When investors have a composition of LQ45 indexed stocks, they are considered to be risk-averse. Grouping refers to investment in the four stages of life. According to Sherman, Wang, & Yuh (2010), age differences reflect dissimilar knowledge obtained from investment-related literacy. Investment practice requires good knowledge in each decision-making process. Investors with an older age will be better at investing, this is because they have more experience and knowledge than younger investors. (Korniotis & Kumar, 2011). Nairn (2005) stated investors with an older age will be more risk averse than younger investors, this is because young investors can still recover from potential financial losses. For this reason, they tend to take more risks than older people. Kiran & Rao (2005) suggested that the age factor greatly influences the risks taken in investing. The WHO (2017) has produced age classification as follows: 1) Under five period = 0–5 years; 2) Childhood = 6–11; 3) Teenagers = 12–17; 4) Adult period = 18–40; and old age = 41–65.
Ton & Nguyen (2014) established that investors aged 27 to 50 years are often more willing to take risks than those aged above 50. Young investors are often more willing to take risks, while older people prefer safer options in stock trading. Das & Jain (2014) showed that demographic variables, such as age, play a significant role in investment decisions. The investment behavior based on age needs to be considered, specifically the effect on stock ownership and the courage to face risks. Basically, demographics should be suspected to play an important role in investment decisions for individual investors. The objective of this research is to highlight an important area for research to analyze the influence of demographic variables on investment decisions.
Both genders have specific physical and psychological differences in terms of hormones that affect perspectives, attitudes, and behaviors. According to Sasongko (2009), they have both differences and similarities (equal). Differences that occur between male and female investors have been examined in various studies. For instance, Jagatha (2018) explained that a female has several major characteristics, including patience for greater results, being disciplined and conservative, and always learning and being open to investment advice. Jain & Mandot (2012) stated that males have stronger characteristics than females, including being more willing to take risks and overconfidence in decision making.
Work is an important aspect that directly affects investments. According to MacCrimmon & Wehrung (1986), employees tend to be less willing to take big risks than entrepreneurs because of differences in perceptions. Saung & Hanna (1996) established that employees are more careful when they want to invest. Subramaniam & Athiyaman (2016) stated that workgroup differences could provide different levels of willingness to take risks. Government employees are often more willing to take risks than self-employed peopleand private employees. Bhavani & Shetty (2017) explained that private employees prefer to invest in several forms, such as bank deposits, life insurance, mutual funds, and equity.
Bhola, Shah, & Zanwar (2012) explained that occupations relate to financial behavior, though people have different habits and approaches. According to Rizvi & Abrar (2015), occupation affects different approaches used in investment. This is tested through financial literacy, maximum welfare, and company conditions. A higher position in a person’s occupation makes them overconfident when making decisions (Warren, Stevens, & McConkey, 1990). Jain & Mandot (2012) found that occupational demographic factors have a major impact on investment decisions. According to Das & Jain (2014), demographic variables, such as occupation, significantly affect investment decisions.
According to Bernheim, Garrett, & Maki (2001), investors with higher incomes readily bear losses as they have sufficient remaining income to survive. Similarly, MacCrimmon & Wehrung (1986) stated that investors' incomes influence the willingness to take risks. The lower the income, the more doubtful they are regarding financial behavior. Arianti (2018) showed that the income from investors relates to confidence in the investment decisions made. According to Rajasthan by Jain & Mandot (2012), income has a large impact on investment. However, in a study on Vietnam, Ton & Nguyen (2014) found that investors with different income levels made the same decisions in taking risks in stock trading, which means that income levels do not affect capital market investors in Vietnam. The income from investors is the background for financial behavior in the capital market. It is expected to help map investor behavior in relation to risk-loving or risk-averse attitudes. This encourages scientific evidence to be conducted through grouping investors by income. Investment activities help obtain greater benefits from the sacrifices made and have various patterns due to the background differences, especially age. Investment behavior based on age is very diverse. Younger investors tend to show risk-loving behavior, while risk-averse attitudes are often a characteristic of older investors.
Age difference has a big impact on accepting risk, where older people tend to have high-risk acceptance than younger investors (Grable & Lytton, 1999). Furthermore, older people often have the knowledge and experience to support better investment decisions (Korniotis & Kumar, 2011). Wang & Hanna (1997) also stated that age affects the differences in investment choices. According to Ansari (2019), the age of investors can be placed into several groups, including under 25 years, 26–40, 41–60, and above 60.
Lestari & Kuntarti (2014) explain that developing areas are illustrated by the classification of investment behavior, such as more investors who fall into the risk-seeker category, and no relationship was found related to investment experience or investment comfort.
Bhayani & Patankar (2016) compared investor behavior in urban and rural areas where information on the differences in the amount of funds invested could be obtained. Additionally, it is known that there are different forms of investment, where people in rural areas prefer products that have a definite return. Kapoor (2016) explains that people who live in urban areas have a higher level of courage in their investment decisions, and this is evidenced by the forms of investment taken, such as stocks and mutual funds. Arshad & Ibrahim (2019) explain that an area is bound by culture, and this has an impact on the investment perspective. The results show that there are several indicators, namely uncertainty avoidance, risk aversion and understanding of risk.
The data used in the demographics is from 3,911 individual customers, or 0.65% of 602,916 individual investors, with stocks listed in Kustodian Sentral Efek Indonesia (KSEI) as of November 15, 2017. The random data taken from the KSEI shows that 910 people, or 0.46% of the stock investors listed in KSEI (197,885), can be processed. Mitton & Keith (2007) used investor data of 60,000 people, a figure representing 0.13% of individual investors in America. Dorn and Huberman's research used data on 20,000 investors from 1995–2000, representing 0.23% of the number of direct stock investors in Germany. Table 1 shows the description of each division.
This study used a descriptive analysis approach and the ANOVA test. This analysis provides an overview of the object under study through data or samples collected because they do not analyze and make general conclusions (Kim, 2017; Montgomery, 2017). The ANOVA test is used to analyze the condition of each investor's demographics and investment decisions based on variance.
| Variable | Variable Concept | Indicator | Scale |
| Gender | The gender of the individual investors included in the sample of observations | Male Female |
Nominal |
| Age | The age of the individual investors included in the sample of observations | Calculations in years are calculated from the day of birth to the end of the observation period | Ratio |
| Income | Data on the level of income per year of individual investors obtained when opening a securities account | 1. Under 10 million 2. 10–50 million 3. 50–100 million 4. 100–500 million 5. 500 million–1 billion 6. Above 1 billion |
Ordinal |
| Occupation | Represents the work data of individual investors obtained when opening a securities account | Academic Employee Other Entrepreneur Civil servant Unemployed |
Nominal |
| Domicile | The domicile data of individual investors is obtained when opening a securities account | 33 provinces in Indonesia | Nominal |
There are two types of ANOVA test, the one-way and the two-way. The one-way ANOVA is a parametric statistical technique used to test differences between three or more groups of interval or ratio scale data derived from one independent variable (Mead, Gilmour, & Mead, 2012). The two-way ANOVA test uses many sample groups involving multiple classifications of more than one dependent variable. The stages in the ANOVA and formulas are:
a. Normality test
Normality testing refers to the hypothesis:
H0 = Data is normally distributed.
H1 = Data is not normally distributed.
b. Homogeneity Test
Normality testing refers to the hypothesis:
H0 = Data is homogeneous.
H1 = Data is not homogeneous.
The terms of the degree of error = 0.01
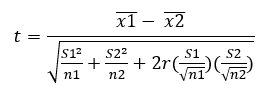
This study uses a t-test approach. This test shows how far the influence (relationship) of the independent variable is partially on the dependent variable. The t-test is used to show how far the relationship between one explanatory or independent variable explains the variation of variables and is used to determine whether or not there is an influence of each individual variable on the dependent variable being tested (Kim, 2015). The formula for the test is as follows:
Whereas:
S12 = Varians sample 1.
S22 = Varians sample 2.
n1 = Sample 1.
n2 = Sample 2.
r= Correlation between two sample.
LQ45 stock has the highest liquidity value and high capitalization. Although it has a lower risk than non-LQ45 stocks, adding a subsector of stocks makes it better., particularly related to risk identification Constantine & Suk (2017) stated that investors in LQ45 stocks often avoid highly risky investments; they prefer a group of stocks with fewer risks. Demographics depicted by gender shows that men tend to be more willing to take risks. This condition is attributed to the psychology of investors who have calculated all aspects to minimize bias against losses.
Stock investment activities are in high demand and are carried out by more men than women. According to Arifin (2017) and Geetha & Ramesh (2012), gender differences influence investment behavior in stocks. Table 2 shows the composition related to the proportion of LQ45 stock ownership.
| Stock Ownership % | Male |
Female |
||
N |
% |
N |
% |
|
| 0–20 | 2854 |
55 |
2336 |
53 |
| 21–40 | 500 |
10 |
397 |
9 |
| 41–60 | 495 |
10 |
438 |
10 |
| 61–80 | 508 |
10 |
568 |
13 |
| 81–100 | 847 |
15 |
662 |
15 |
| Total | 5204 |
100 |
4401 |
100 |
The majority of the sample are male (54.17%), with females making up 45.81%. Investment behavior in males shows that they have the majority of ownership of LQ45 stocks (males 55%, and females 53%). Therefore, both genders are risk-takers. The processing was carried out with the t-test (independent sample t-test) because the number of samples (N) differed and was intended to compare the two groups. Table 3 shows the test output.
Gender |
N |
Mean |
Median |
Mode |
Std. Deviation |
Std. Error Mean |
|
LQ45 |
Male |
5204 |
0.3106 |
0.0900 |
0.00 |
0.37076 |
0.00514 |
Female |
4401 |
0.3166 |
0.1200 |
0.00 |
0.36843 |
0.00555 |
Description |
Mean |
Median |
Mode |
Std. Error |
Std. Dev |
|
2012 |
Male |
0.42 |
0.39 |
0.00 |
0.02 |
0.32 |
Female |
0.36 |
0.34 |
0.00 |
0.02 |
0.29 |
|
2013 |
Male |
0.32 |
0.15 |
0.00 |
0.02 |
0.36 |
Female |
0.29 |
0.20 |
0.00 |
0.03 |
0.32 |
|
2014 |
Male |
0.28 |
0.00 |
0.00 |
0.01 |
0.35 |
Female |
0.28 |
0.00 |
0.00 |
0.01 |
0.34 |
|
2015 |
Male |
0.27 |
0.00 |
0.00 |
0.01 |
0.36 |
Female |
0.27 |
0.00 |
0.00 |
0.01 |
0.33 |
|
2016 |
Male |
0.37 |
0.28 |
0.00 |
0.01 |
0.38 |
Female |
0.39 |
0.36 |
0.00 |
0.01 |
0.38 |
|
2017 |
Male |
0.28 |
0.00 |
0.00 |
0.01 |
0.38 |
Female |
0.29 |
0.00 |
0.00 |
0.01 |
0.39 |
|
The three important values are mean, standard deviation, and standard error of the mean. The mean value represents the average stockholder of LQ45, which is not much different between males and females. Therefore, the 9605 investors, on average, have LQ45 stock of 31% of the total stock ownership. The standard deviation is 0.37 (37%) and 0.36 (36%) for males and females, respectively. The output standard deviation has a value greater than the mean, meaning that there is a high variation of LQ45 stock ownership in males and females. Afterward, the high variation in the 9605 samples was retested by breaking down the data by year to obtain an overview of the differences in the output of each period. Table 4 shows that the mean values are smaller than the standard deviations in 2013, 2014, 2015, 2016 and 2017, emphasizing the high variation in LQ45 stock ownership. This implies that the risk profiles of investors have a high diversity.
Another comparison involves the mean and standard errors in Tables 2 and 3. The total standard error value is no more than 0.5%. Table 3 has a value of no more than 0.5%. Therefore, the sample of 9605 investors over five years has a high level of accuracy. Table 3 shows that the mean values from 2012–2017 for the male and female groups do not exceed 50% of LQ45 stock ownership. This implies that the average investor has risk-taking tendencies. However, this finding needs to be corroborated by proof from the median and mode values.
The mean, median, and mode values provide an overview of the distribution of LQ45 stock ownership. According to Walpole (1995), these values are expected to be close to each other because they relate to the distribution, implying an error in profiling investors' characteristics. The mean, median, and mode values have a large difference in the order of mean> median> mode values, as shown in Figure 1.
| Figure 1. Distribution of investor data for LQ45 stock portfolio ownership. |
Figure 1 shows that many investors (male and female) with investments dare to take risks. This is evident from the composition of LQ45 stock ownership. A few investors have a majority stock of LQ45. Therefore, investors differentiated based on gender understand stocks both fundamentally and/or technically, and hence could not invest in LQ45 stocks. The test was conducted to determine the real difference between the groups. The hypotheses in this study are: H0 = There is no difference in the average LQ45 stock ownership between males and females, and H1 = There is a difference in the average LQ45 stock ownership between males and females. Table 5 shows the test results using 9605 investors.
Table 5 shows two important parts, specifically the value of Sig. in Levene's test for equality of variances and the t-test. The value of Sig. in Levene's test for equality of variances is 0.787, which is greater than the set limit, meaning that male and female investors in LQ45 stock ownership are homogeneous. This is in line with Jamil & Khan (2016) and Putri & Hamidi (2019), who established that the risk preferences of men and women look the same as indicated by homogeneous data.
| Levene's Test for Equality of Variances | T-test for Equality of Means | ||||||||||
F |
Sig. |
t |
df |
Sig. (2-tailed) |
Mean Diff. |
Std. Error Diff. |
95% Confidence Interval of the Difference |
||||
Lower |
Upper |
||||||||||
| Y | Equal variances assumed | 0.073 |
0.787* |
-0.782 |
9603 |
0.434 |
-0.00592 |
0.00757 |
-0.02076 |
0.00892 |
|
| Equal variances not assumed | -0.782 |
9,358.800 |
0.434 |
-0.00592 |
0.00757 |
-0.02075 |
0.00891 |
||||
| Note: * Significant at < 0.05. |
The t-test Sig. (2-tailed) value gives an output of 0.434, which is greater than 0.05. This describes the rejected hypothesis (H0 is rejected), hence there is no significant difference. This shows that there is a difference in investment behavior when dealing with risk. Males are considered more confident and willing to take risks than females (Arano, Parker, & Terry, 2010; Barber & Odean, 2001; Bhandari & Deaves, 2006; Bhushan & Medury, 2013; Scott & Bruce, 1995) . This is also in line with Jamil & Khan (2016) and Putri & Hamidi (2019), who showed that gender did not affect investment decisions. Investment activities are strongly influenced by gender differences, which can be distinguished through several indicators, namely tolerance for income, risk tolerance in portfolios, luck, overconfidence, and trust (Albaity & Rahman, 2012).
LQ45 stock portfolio ownership also relates to occupation. In this study, the occupation variables are grouped as follows: 1 = academics, 2 = employees, 3 = entrepreneurs, 4 = civil servants, 5 = unemployed, and 6 = others. The grouping has a different stock proportion relationship with each group, as shown in Table 6.
Stock Ownership % |
Employees |
Academics |
Entrepreneurs |
Civil Servants |
Unemployed |
Others |
||||||
N |
% |
N |
% |
N |
% |
N |
% |
N |
% |
N |
% |
|
0–20 |
1203 |
57 |
2665 |
54 |
624 |
50 |
189 |
51 |
341 |
57 |
168 |
51 |
21–40 |
246 |
12 |
312 |
6 |
174 |
14 |
37 |
10 |
89 |
15 |
39 |
12 |
41–60 |
210 |
10 |
418 |
8 |
157 |
13 |
43 |
12 |
60 |
10 |
45 |
14 |
61–80 |
165 |
8 |
681 |
14 |
112 |
9 |
38 |
10 |
46 |
8 |
34 |
10 |
81–100 |
289 |
14 |
877 |
18 |
174 |
14 |
60 |
16 |
64 |
11 |
45 |
14 |
Total |
2113 |
100 |
4953 |
100 |
1241 |
100 |
367 |
100 |
600 |
100 |
331 |
100 |
Table 6 shows that the 4953 investors who are in the academics group carry out most of the stock investment activities, making up 51.6% of the total sample. The number of investors with LQ45 stock portfolio ownership below 20% is in the employee category, constituting 60% of the total in that group. The academic group has the majority of stocks in the composition of LQ45 stocks above 80%, with 832 investors or 17% of the group. According to Subramaniam & Athiyaman (2016), occupational differences lead to dissimilarities in the willingness to take risks. Government employees tend to be bolder than self-employed people, while private employees take more risks than the self-employed. Saung & Hanna (1996) stated that employees are more careful when they want to invest. However, that contravenes this study, which shows that civil servants tend to be more defensive in stock selection than employees or entrepreneurs. This is shown by the ownership of LQ45 stocks, which is higher than the other two groups. Academics tended to be more conservative, as shown by the highest stock ownership of LQ45 compared to other groups. The next test was the ANOVA calculation to determine and compare data from several groups. The tests consisted of a) descriptive ANOVA, b) homogeneity, c) ANOVA test, and d) Tukey test and pattern similarity.
N |
Mean |
Med |
Mod |
Std. Dev |
Std. Error |
95% Confidence Interval for Mean |
Min |
Max |
||
Lower Bound |
Upper Bound |
|||||||||
| Employees | 2113 |
0.281 |
0.06 |
0.00 |
0.35381 |
0.00770 |
0.266 |
0.2962 |
0 |
1 |
| Academics | 4953 |
0.331 |
0.00 |
0.00 |
0.38669 |
0.00549 |
0.3206 |
0.3421 |
0 |
1 |
| Entrepreneurs | 1241 |
0.315 |
0.20 |
0.00 |
0.34699 |
0.00985 |
0.2963 |
0.335 |
0 |
1 |
| Civil servants | 367 |
0.321 |
0.17 |
0.00 |
0.36846 |
0.01923 |
0.2835 |
0.3592 |
0 |
1 |
| Unemployed | 600 |
0.264 |
0.13 |
0.00 |
0.32591 |
0.01331 |
0.2388 |
0.2911 |
0 |
1 |
| Others | 331 |
0.320 |
0.18 |
0.00 |
0.34745 |
0.01910 |
0.2829 |
0.3580 |
0 |
1 |
| Total | 9605 |
0.313 |
0.15 |
0.00 |
0.36968 |
0.00377 |
0.306 |
0.3207 |
0 |
1 |
Table 7 provides information related to LQ45 stock ownership and six occupational groups. The academic investor group has the highest percentage of LQ45 stock composition compared to other occupations, and the unemployed group has the smallest stock composition. In this case, the unemployed investors expect higher profits and are the most risk-taking investors. Furthermore, the distribution grouping descriptively has a positive deviation due to Mode < Median < Mean values. Therefore, all groupings of investors related to occupation type will tend to favor risk rather than avoid it.
Levene Statistic |
df1 |
df2 |
Sig. |
49.868 |
5 |
9599 |
0.000* |
| Note: * Significant at < 0.05. |
The information presented in Table 8 related to the homogeneity of investors' occupations and LQ45 stock ownership provides an overview of the data and information that differs. This is because the value of Sig. is below 0.05, meaning that the data is heterogeneous. The difference in data shows the behavior of investors regarding LQ45 stock ownership and occupation.
Sum of Squares |
df |
Mean Square |
F |
Sig. |
|
| Between Groups | 5.259 |
5 |
1.052 |
7.723 |
0.000* |
| Within Groups | 1.307.289 |
9599 |
0.136 |
||
| Total | 1.312.548 |
9604 |
| Note: * Significant at < 0.05. |
The information listed in Table 9 provides a description of the significant differences in investment behavior from the percentage of LQ45 stock ownership based on occupation. The value of Sig. is below 0.05, meaning that occupation leads to differences in LQ45 stock ownership.
Table 10 provides a further explanation from Table 5 on the investor occupation ANOVA. The mean difference shows the difference in the average LQ45 stock ownership between occupations. Employees have a significant Sig. < 0.05 with academics. This shows that the behavior of this investor group has differences in LQ45 stock ownership. Academics have other differences with the group of unemployed in LQ45 stock ownership. The conclusion of the drawing is presented in Figure 2.
From Figure 2, the hypothesis "occupation affects investment decisions" is accepted. There is a significant relationship and influence between occupation and LQ45 stock ownership. According to Bhola et al. (2012) and Jain and Mandot (2012), different types of work influence investment decisions. This study showed that academics have higher LQ45 stock ownership than the employee and unemployed groups because they have better knowledge in terms of investment and risk management.
| (I) Occupation | Mean Difference (I-J) |
Std. Error |
Sig. |
95% Confidence Interval |
||
Lower Bound |
Upper Bound |
|||||
| Employees | Academics | -0.05028* |
0.00959 |
0.000 |
-0.0776 |
-0.0229 |
| Entrepreneurs | -0.03457 |
0.01320 |
0.093 |
-0.0722 |
0.0030 |
|
| Civil Servants | -0.04027 |
0.02087 |
0.384 |
-0.0998 |
0.0192 |
|
| Unemployed | 0.01612 |
0.01707 |
0.935 |
-0.0325 |
0.0648 |
|
| Others | -0.03938 |
0.02182 |
0.462 |
-0.1016 |
0.0228 |
|
| Academics | Academics | 0.05028* |
0.00959 |
0.000 |
0.0229 |
0.0776 |
| Entrepreneurs | 0.01571 |
0.01171 |
0.762 |
-0.0177 |
0.0491 |
|
| Civil Servants | 0.01002 |
0.01996 |
0.996 |
-0.0469 |
0.0669 |
|
| Unemployed | 0.06640* |
0.01595 |
0.000 |
0.0209 |
0.1119 |
|
| Others | 0.01090 |
0.02095 |
0.995 |
-0.0488 |
0.0706 |
|
| Entrepreneurs | Academics | 0.03457 |
0.01320 |
0.093 |
-0.0030 |
0.0722 |
| Entrepreneurs | -0.01571 |
0.01171 |
0.762 |
-0.0491 |
0.0177 |
|
| Civil Servants | -0.00569 |
0.02193 |
1.000 |
-0.0682 |
0.0568 |
|
| Unemployed | 0.05069 |
0.01835 |
0.064 |
-0.0016 |
0.1030 |
|
| Others | -0.00481 |
0.02283 |
1.000 |
-0.0699 |
0.0603 |
|
| Civil Servants | Academics | 0.04027 |
0.02087 |
0.384 |
-0.0192 |
0.0998 |
| Entrepreneurs | -0.01002 |
0.01996 |
0.996 |
-0.0669 |
0.0469 |
|
| Civil Servants | 0.00569 |
0.02193 |
1.000 |
-0.0568 |
0.0682 |
|
| Unemployed | 0.05639 |
0.02446 |
0.192 |
-0.0133 |
0.1261 |
|
| Others | 0.00088 |
0.02797 |
1.000 |
-0.0789 |
0.0806 |
|
| Unemployed | Academics | -0.01612 |
0.01707 |
0.935 |
-0.0648 |
0.0325 |
| Entrepreneurs | -0.06640* |
0.01595 |
0.000 |
-0.1119 |
-0.0209 |
|
| Civil Servants | -0.05069 |
0.01835 |
0.064 |
-0.1030 |
0.0016 |
|
| Unemployed | -0.05639 |
0.02446 |
0.192 |
-0.1261 |
0.0133 |
|
| Others | -0.05550 |
0.02527 |
0.239 |
-0.1275 |
0.0165 |
|
| Others | Academics | 0.03938 |
0.02182 |
0.462 |
-0.0228 |
0.1016 |
| Entrepreneurs | -0.01090 |
0.02095 |
0.995 |
-0.0706 |
0.0488 |
|
| Civil Servants | 0.00481 |
0.02283 |
1.000 |
-0.0603 |
0.0699 |
|
| Unemployed | -0.00088 |
0.02797 |
1.000 |
-0.0806 |
0.0789 |
|
| Others | 0.05550 |
0.02527 |
0.239 |
-0.0165 |
0.1275 |
|
| Note: * The mean difference is significant at the 0.05 level. |
| Curve arrow = significant at the 0.05 level. Aggressive = low portion of LQ45 ownership. Conservative = high portion of LQ45 ownership. |
Figure 2. Differences in occupation for LQ45 stock portfolio ownership. |
The income of investors also plays a significant role in stock investment portfolios. This affects the relationship between investment behavior decisions, especially LQ45 stock ownership. The amount of income of investors is split into six groups: 1 = below IDR 10 million, 2 = IDR 10–50 million, 3 = IDR 50–100 million, 4 = IDR 100–500 million, 5 = IDR 500 million–1 billion, and 6 = above IDR 1 billion per year. Table 11 shows the information on the LQ45 stock portfolio ownership.
Stock Ownership % |
< IDR 10 million |
IDR 10–50 million |
IDR 50–100 million |
IDR 100–500 million |
IDR 500 million 1 billion |
> IDR 1 billion |
||||||
N |
% |
N |
% |
N |
% |
N |
% |
N |
% |
N |
% |
|
0–20 |
1385 |
52 |
2235 |
59 |
633 |
49 |
775 |
52 |
95 |
43 |
67 |
63 |
21–40 |
201 |
8 |
253 |
7 |
164 |
13 |
227 |
15 |
40 |
18 |
12 |
11 |
41–60 |
233 |
9 |
307 |
8 |
169 |
13 |
186 |
12 |
29 |
13 |
9 |
8 |
61–80 |
323 |
12 |
469 |
12 |
130 |
10 |
123 |
8 |
25 |
11 |
6 |
6 |
81–100 |
538 |
20 |
540 |
14 |
202 |
16 |
186 |
12 |
30 |
14 |
13 |
12 |
Total |
2680 |
100 |
3804 |
100 |
1298 |
100 |
1497 |
100 |
219 |
100 |
107 |
100 |
Table 11 shows that the majority of investors (3804, or 39.6%) are in the IDR 10–50 million income group. In this group, there are 2285 investors (60%) with a non-LQ45 stock portfolio ownership below 20%. This indicates that the income range group constitutes investors expecting higher return investments and higher risk preference. Therefore, the income from investors plays a role in LQ45 stock ownership and provides information about the grouping of investors based on their willingness to take risks. Nguyen & Schuessler (2012) also established that income affects investment decisions. Table 12 shows other information related to the distribution of descriptive statistical data with the order Mode < Median < Mean and are positively deviated. This means that there will be changes that lead to increased courage in taking investment risks.
N |
Mean |
Med |
Mode |
Std. Deviation |
Std. Error |
95% Confidence Interval for Mean |
Min |
Max |
||
Lower Bound |
Upper Bound |
|||||||||
| < IDR 10 million | 2680 |
0.350 |
0.150 |
0.00 |
0.39436 |
0.00762 |
0.335 |
0.3649 |
0.00 |
1 |
| IDR 10 - 50 million | 3804 |
0.286 |
0.000 |
0.00 |
0.36766 |
0.00596 |
0.274 |
0.2973 |
0.00 |
1 |
| IDR 50 - 100 million | 1298 |
0.339 |
0.230 |
0.00 |
0.35759 |
0.00993 |
0.3199 |
0.3588 |
0.00 |
1 |
| IDR 100 - 500 million | 1497 |
0.295 |
0.170 |
0.00 |
0.33679 |
0.0087 |
0.2782 |
0.3123 |
0.00 |
1 |
| IDR 500 million - 1 billion | 219 |
0.350 |
0.280 |
0.00 |
0.34143 |
0.02307 |
0.3044 |
0.3954 |
0.00 |
1 |
| > IDR 1 billion | 107 |
0.244 |
0.000 |
0.00 |
0.33921 |
0.03279 |
0.1793 |
0.3093 |
0.00 |
1 |
| Total | 9605 |
0.313 |
0.160 |
0.00 |
0.36968 |
0.00377 |
0.306 |
0.3207 |
0.00 |
1 |
The next test was the ANOVA calculation to determine and compare data from several groups. It consisted of four stages, including a) descriptive ANOVA, b) homogeneity, c) ANOVA test, and d) Tukey test and pattern similarity. Table 13 shows the information related to LQ45 stock ownership for six income groups of investors. The income group below IDR 10 million has the highest proportion of LQ45 stock compared to other groups. This shows that the investors in this group are often not willing to accept too big a risk. The group of investors with the largest risk profile is in the income range of IDR 100–500 million. This is shown by the smallest percentage of LQ45 stock ownership compared to other income groups.
Levene Statistic |
df1 |
df2 |
Sig. |
39.521 |
5 |
9599 |
0.000* |
| Note: * significant at < 0.05. |
Table 13 shows that the data and information used differ from one another. This is because the value of Sig. is below 0.05, indicating that the data is heterogeneous. The impact of the differences shows that investor behavior relates to LQ45 stock ownership, and income is different from one another.
Sum of Squares |
df |
Mean Square |
F |
Sig. |
|
| Between Groups | 8.684 |
5 |
1.737 |
12.786 |
0.000* |
| Within Groups | 1.303.864 |
9599 |
0.136 |
||
| Total | 1.312.548 |
9604 |
| Note: * Significant at < 0.05. |
Table 14 provides information related to significant differences in investment behavior from the percentage of LQ45 stock ownership based on investor income. The Sig. value is below 0.05, meaning that investors' income affects the difference in LQ45 stock ownership.
| (I) Income | Mean Difference (I-J) |
Std. Error |
Sig. |
95% Confidence Interval |
||
Lower Bound |
Upper Bound |
|||||
| < IDR 10 million | IDR 10–50 million | 0.06432* |
0.00929 |
0.000 |
0.0378 |
0.0908 |
| IDR 50–100 million | 0.01059 |
0.01246 |
0.958 |
-0.0249 |
0.0461 |
|
| IDR 100–500 million | 0.05471* |
0.01189 |
0.000 |
0.0208 |
0.0886 |
|
| IDR 500 million–1 billion | 0.00005 |
0.02590 |
10.000 |
-0.0738 |
0.0739 |
|
| > IDR 1 billion | 0.10566* |
0.03633 |
0.042 |
0.0021 |
0.2092 |
|
| IDR 10–50 million | < IDR 10 million | -0.06432* |
0.00929 |
0.000 |
-0.0908 |
-0.0378 |
| IDR 50–100 million | -0.05372* |
0.01185 |
0.000 |
-0.0875 |
-0.0200 |
|
| IDR 100–500 million | -0.00960 |
0.01124 |
0.957 |
-0.0417 |
0.0224 |
|
| IDR 500 million–1 billion | -0.06426 |
0.02561 |
0.121 |
-0.1373 |
0.0087 |
|
| > IDR 1 billion | 0.04135 |
0.03613 |
0.863 |
-0.0616 |
0.1443 |
|
| IDR 50–100 million | < IDR 10 million | -0.01059 |
0.01246 |
0.958 |
-0.0461 |
0.0249 |
| IDR 10–50 million | 0.05372* |
0.01185 |
0.000 |
0.0200 |
0.0875 |
|
| IDR 100–500 million | 0.04412* |
0.01398 |
0.020 |
0.0043 |
0.0840 |
|
| IDR 500 million–1 billion | -0.01054 |
0.02692 |
0.999 |
-0.0873 |
0.0662 |
|
| > IDR 1 billion | 0.09507 |
0.03707 |
0.106 |
-0.0106 |
0.2007 |
|
| IDR 100–500 million | < IDR 10 million | -0.05471* |
0.01189 |
0.000 |
-0.0886 |
-0.0208 |
| IDR 10–50 million | 0.00960 |
0.01124 |
0.957 |
-0.0224 |
0.0417 |
|
| IDR 50–100 million | -0.04412* |
0.01398 |
0.020 |
-0.0840 |
-0.0043 |
|
| IDR 500 million–1 billion | -0.05466 |
0.02666 |
0.314 |
-0.1307 |
0.0213 |
|
| > IDR 1 billion | 0.05095 |
0.03688 |
0.738 |
-0.0542 |
0.1561 |
|
| IDR 500 million–1 billion | < IDR 10 million | -0.00005 |
0.02590 |
10.000 |
-0.0739 |
0.0738 |
| IDR 10–50 million | 0.06426 |
0.02561 |
0.121 |
-0.0087 |
0.1373 |
|
| IDR 50–100 million | 0.01054 |
0.02692 |
0.999 |
-0.0662 |
0.0873 |
|
| IDR 100–500 million | 0.05466 |
0.02666 |
0.314 |
-0.0213 |
0.1307 |
|
| > IDR 1 billion | 0.10561 |
0.04347 |
0.146 |
-0.0183 |
0.2295 |
|
| > IDR 1 billion | < IDR 10 million | -0.10566* |
0.03633 |
0.042 |
-0.2092 |
-0.0021 |
| IDR 10–50 million | -0.04135 |
0.03613 |
0.863 |
-0.1443 |
0.0616 |
|
| IDR 50–100 million | -0.09507 |
0.03707 |
0.106 |
-0.2007 |
0.0106 |
|
| IDR 100–500 million | -0.05095 |
0.03688 |
0.738 |
-0.1561 |
0.0542 |
|
| IDR 500 million–1 billion | -0.10561 |
0.04347 |
0.146 |
-0.2295 |
0.0183 |
|
| Note: * The mean difference is significant at the 0.05 level. |
Table 15 provides a further explanation of the ANOVA table of investor income. The mean difference value of each income group is different. Investors with income below IDR 10 million have a significant difference (Sig. < 0.10) from those with an income of IDR 10–50 million. Specifically, investors with an income of IDR 10 million have a higher percentage of LQ45 stock ownership than those with an income of IDR 10–50 million. Other findings were explained by the confidence interval value (lower bound of 0.0378% and upper bound of 0.0908%). This proves that investors with an income below IDR 10 million cannot reduce their percentage of LQ45 stock ownership lower than their counterparts with an income of IDR 10–50 million. Also, the percentage of the two groups of investors may have an increasingly wide range that exceeds current conditions. Figure 3 shows the significant differences between the groups.
Investors with income below IDR 10 million significantly differ from those with IDR 10–50 million, IDR 100–500 million, and > IDR 1 billion incomes. The IDR 10–50 million income group has another significant difference from the IDR 50–100 million income group. The group of investors with an IDR 50–100 million income has another significant difference from the IDR 100–500 million income group, hence an anomaly was found. Specifically, the group of investors with IDR 100–500 million incomes have similar behavior to those with incomes of IDR 500 million–1 billion. Figure 3 depicts the pattern of differences.
| Curve arrow = significant at the 0.05 level. Aggressive = low portion of LQ45 ownership. Conservative = high portion of LQ45 ownership. |
Figure 3. Differences in income for LQ45 stock portfolio ownership. |
Therefore, hypothesis 1d, "income affects investment decisions" is accepted. This is in line with MacCrimmon & Wehrung (1986), who stated that investors' income influences the courage to take risks. The lower the income, the more doubtful the financial behavior. According to Bernheim et al. (2001), investors with higher incomes will be more ready to bear losses. Loke (2017) also stated that the high-income groups tend to take greater risks.
These results indicate that investors with income below IDR 10 million have a significant difference in the stock ownership of LQ45 from other groups. Housewives dominate the demographic data for income. They invest more conservatively because the source of funds for investment is not obtained from their income. Investors with income above IDR 1 billion tend to be more aggressive in investing because of their large source of funds.
LQ45 stock portfolio ownership is very diverse. The age groups are divided into four (A = 17–22 years; B = 23–36 years; C = 37–56 years; and D = 57+) based on a combination of previous studies, including Srijanani & Vijaya (2018); Hassan, Khalid, & Habib (2014) and Ansari (2019) and investment throughout the four stages of human life. Table 16 presents an overview of the comparison of the LQ45 stock portfolio ownership regarding age.
| % LQ45 Stock Portfolio Ownership | Age |
|||||||
17–22 |
23–36 |
37–56 |
57+ |
|||||
N |
% |
N |
% |
N |
% |
N |
% |
|
| 0–20 | 527 |
51 |
1559 |
58 |
2436 |
53 |
668 |
53 |
| 21–40 | 134 |
13 |
320 |
12 |
329 |
7 |
114 |
9 |
| 41–60 | 130 |
12 |
298 |
11 |
374 |
8 |
131 |
10 |
| 61–80 | 116 |
11 |
183 |
7 |
689 |
15 |
88 |
7 |
| 81–100 | 134 |
13 |
336 |
12 |
770 |
17 |
269 |
21 |
| Total | 1041 |
100 |
2696 |
100 |
4598 |
100 |
1270 |
100 |
Table 16 shows that the highest number of investors (4,598) are in the 23–36 age group, which is 47.9% of the total sample, and the smallest number of investors are in the 17-22 age group. From the distribution of the data, most of the age groups dominate the low LQ45 stock ownership. The 37–56 age group has the largest portion, reaching 61% of the group with the lowest LQ45 stock ownership, which is 0.00–0.20. Interestingly, the group with the largest percentage of LQ45 stock portfolios was those between the ages of 17–22 years, which reached 20%. There was an anomaly where the 37–56 age group turned out to be the most aggressive in investing in stocks. According to Lutfi (2012), people aged between 20 and 40 years are included in the risk seeker category. The age range plays a very important role in the productivity of the stock portfolio.
Young investors under 40 years old have a mode of accumulating wealth through high returns, while the aged are more likely to lead a comfortable life and achieve a stable return on investment (Evans, 2004; Riley & Chow, 1992). Similarly, Hassan et al. (2014) stated that a more mature person tends to make low-risk investments.
This study shows that almost every majority age group owns low LQ45 stocks and dares to invest in a portfolio dominated by non-LQ45 stocks. The top group in LQ45 stock ownership is dominated by those in the 17–22 age group, followed by the 23–36 age group. This is attributed to better literacy in the younger age group, who have a better understanding of stock investment. Furthermore, Table 17 shows that all modes have a value of 0.00, which indicates that each age group has many investors who do not own LQ45 stocks and prefer measured risk. The descriptive order Mode < Median < Mean indicates that it has a positively skewed distribution.
N |
Mean |
Med |
Mode |
Std. Deviation |
Std. Error |
95% Confidence Interval for Mean |
Min |
Max |
||
Lower Bound |
Upper Bound |
|||||||||
57+ |
1270 |
0.3416 |
0.19 |
0 |
0.39693 |
0.01114 |
0.3197 |
0.3634 |
0 |
1 |
37–56 |
4598 |
0.3310 |
0.04 |
0 |
0.38021 |
0.00561 |
0.3200 |
0.3420 |
0 |
1 |
23–36 |
2696 |
0.2682 |
0.09 |
0 |
0.34314 |
0.00661 |
0.2552 |
0.2812 |
0 |
1 |
17–22 |
1041 |
0.3179 |
0.13 |
0 |
0.34356 |
0.01065 |
0.2970 |
0.3388 |
0 |
1 |
Total |
9605 |
0.3134 |
0.11 |
0 |
0.36968 |
0.00377 |
0.306 |
0.3207 |
0 |
1 |
The ANOVA determined and compared data from several groups. It consisted of descriptive ANOVA, homogeneity, ANOVA test, Tukey test, and similarity of patterns. Table 17 shows the information related to LQ45 stock ownership and the four age groups of the investors. From the table, investors aged 57 and above have the highest percentage of LQ45 stocks compared to other groups. This means that more mature investors make less risky investments than younger investors. Furthermore, investors aged 17–22 have the smallest percentage of LQ45 stocks. Therefore, the 17–22 age group comprises the most risk-taking investors.
| Table 18. ANOVA homogeneity of investor age for LQ45 stock portfolio ownership. |
| Levene Statistic | df1 |
df2 | Sig. |
| 77.149 | 3 | 9601 | 0.000* |
| Note: * Significant at < 0.05. |
Table 18 provides an overview of the data and information used, which differ from one another. This condition is due to the Sig. value below 0.05, which shows that the data is heterogeneous. The difference in data indicates that investor behavior relates to LQ45 stock ownership with age differences.
Sum of Squares |
df |
Mean Square |
F |
Sig. |
|
| Between groups | 7.966 |
3 |
2.655 |
19.541 |
0.000* |
| Within groups | 1.304 |
9601 |
0.136 |
||
| Total | 1.312 |
9604 |
| Note: * Significant at < 0.05. |
Table 19 shows the significant difference in investment behavior from the percentage of LQ45 stock ownership due to the investor's age. The value of Sig. is below 0.05, meaning that the investor's age affects the difference in LQ45 stock ownership.
| (I) Age | (J) Age |
Mean Difference (I-J) |
Std. Error |
Sig. |
95% Confidence Interval |
|
Lower Bound |
Upper Bound |
|||||
| 57+ years | 37–56 |
0.01059 |
0.01169 |
0.801 |
-0.0194 |
0.0406 |
23–36 |
0.07340* |
0.01255 |
0.000 |
0.0412 |
0.1056 |
|
17–22 |
0.02372 |
0.01541 |
0.414 |
-0.0159 |
0.0633 |
|
| 37–56 years | 57+ |
-0.01059 |
0.01169 |
0.801 |
-0.0406 |
0.0194 |
23–36 |
0.06281* |
0.00894 |
0.000 |
0.0398 |
0.0858 |
|
17–22 |
0.01313 |
0.01265 |
0.727 |
-0.0194 |
0.0456 |
|
| 23–36 years | 57+ |
-0.07340* |
0.01255 |
0.000 |
-0.1056 |
-0.0412 |
37–56 |
-0.06281* |
0.00894 |
0.000 |
-0.0858 |
-0.0398 |
|
17–22 |
-0.04968* |
0.01345 |
0.001 |
-0.0842 |
-0.0151 |
|
| 17–22 years | 57+ |
-0.02372 |
0.01541 |
0.414 |
-0.0633 |
0.0159 |
37–56 |
-0.01313 |
0.01265 |
0.727 |
-0.0456 |
0.0194 |
|
23–36 |
0.04968* |
0.01345 |
0.001 |
0.0151 |
0.0842 |
|
| Note: * The mean difference is significant at the 0.05 level. |
The multiple comparisons provide a further explanation from Table 20 regarding the ANOVA of investor age. It shows that Sig. relates to the difference in age groups provided it is below 0.05. Several groups showed significant differences, including a) 23–36 years with 57+ years, b) 23–36 years with 37–56 years, and c) 23–36 years with 17–22 years. Figure 4 provides sequential information related to the perceived average of LQ45 stock ownership based on the risk profile. The age range of 23–36 years is a productive age for collecting financial coffers and realizing dreams. For this reason, they are encouraged to take a risk for a bigger investment return.
| Curve arrow = significant at the 0.05 level. Aggressive = low portion of LQ45 ownership. Conservative = high portion of LQ45 ownership. |
Figure 4. Age differences for LQ45 stock portfolio ownership. |
The hypothesis "age affects investment decisions" is accepted. This is in line with Srijanani & Vijaya (2018); Hassan et al. (2014) and Wang & Hanna (1997), who established that age influences investment decisions, both measured through risk and allocation. People in the 57+ age group tend to be more conservative because many may have entered retirement, hence the risk preference is lower than in the other groups. The 23–36 age group is for workers who invest to increase their income, making them aggressive.
The concept of the domicile area of the investor is considered to play a role in investment decisions, which is reflected in the stock portfolio. Regions are divided by province in Indonesia, and this provides a solid basis for grouping investors. The regional information related to stock portfolio ownership is presented in Table 21.
Table 21 provides information that DKI Jakarta province is the area with the largest composition of investor distribution. DKI Jakarta is also an area filled with investors who like risk, which is reflected in the percentage of LQ45 share ownership below 20% (as many as 1498 investors, or 63.5% of the total investors in DKI Jakarta). To clarify the picture that the investors' domicile area has an impact on the relationship of investment decisions, the data is displayed in the form of a map chart (See Figure 5).
| Area | 0%–20% |
21%–40% |
41%–60% |
61%–80% |
81%–100% |
Total Area |
|||||
N |
% |
N |
% |
N |
% |
N |
% |
N |
% |
||
| Aceh | 101 |
61.6 |
25 |
15.2 |
7 |
4.3 |
12 |
7.3 |
19 |
11.6 |
164 |
| Babel | 20 |
50.0 |
2 |
5.0 |
11 |
27.5 |
0 |
0.0 |
7 |
17.5 |
40 |
| Bali | 0 |
0.0 |
1 |
33.3 |
2 |
66.7 |
0 |
0.0 |
0 |
0.0 |
3 |
| Banten | 166 |
59.3 |
37 |
13.2 |
20 |
7.1 |
25 |
8.9 |
32 |
11.4 |
280 |
| Bengkulu | 73 |
50.0 |
14 |
9.6 |
28 |
19.2 |
6 |
4.1 |
25 |
17.1 |
146 |
| Gorontalo | 4 |
100.0 |
0 |
0.0 |
0 |
0.0 |
0 |
0.0 |
0 |
0.0 |
4 |
| Jabar | 279 |
59.1 |
38 |
8.1 |
63 |
13.3 |
31 |
6.6 |
61 |
12.9 |
472 |
| Jakarta | 1498 |
63.5 |
281 |
11.9 |
230 |
9.7 |
149 |
6.3 |
202 |
8.6 |
2360 |
| Jambi | 314 |
55.2 |
35 |
6.2 |
62 |
10.9 |
45 |
7.9 |
113 |
19.9 |
569 |
| Jateng | 760 |
52.3 |
97 |
6.7 |
242 |
16.6 |
96 |
6.6 |
259 |
17.8 |
1454 |
| Jatim | 144 |
47.8 |
25 |
8.3 |
51 |
16.9 |
16 |
5.3 |
65 |
21.6 |
301 |
| Kalbar | 241 |
62.0 |
56 |
14.4 |
42 |
10.8 |
20 |
5.1 |
30 |
7.7 |
389 |
| Kalsel | 54 |
60.0 |
11 |
12.2 |
11 |
12.2 |
1 |
1.1 |
13 |
14.4 |
90 |
| Kaltara | 12 |
44.4 |
6 |
22.2 |
4 |
14.8 |
4 |
14.8 |
1 |
3.7 |
27 |
| Kalteng | 122 |
52.6 |
13 |
5.6 |
33 |
14.2 |
16 |
6.9 |
48 |
20.7 |
232 |
| Kaltim | 39 |
52.0 |
4 |
5.3 |
7 |
9.3 |
4 |
5.3 |
21 |
28.0 |
75 |
| Kepri | 23 |
56.1 |
2 |
4.9 |
2 |
4.9 |
2 |
4.9 |
12 |
29.3 |
41 |
| Lampung | 94 |
52.2 |
9 |
5.0 |
33 |
18.3 |
18 |
10.0 |
26 |
14.4 |
180 |
| Maluku | 1 |
50.0 |
0 |
0.0 |
1 |
50.0 |
0 |
0.0 |
0 |
0.0 |
2 |
| Malut | 14 |
58.3 |
2 |
8.3 |
7 |
29.2 |
0 |
0.0 |
1 |
4.2 |
24 |
| NTB | 53 |
58.9 |
7 |
7.8 |
17 |
18.9 |
5 |
5.6 |
8 |
8.9 |
90 |
| NTT | 12 |
80.0 |
0 |
0.0 |
0 |
0.0 |
2 |
13.3 |
1 |
6.7 |
15 |
| Pabar | 8 |
53.3 |
3 |
20.0 |
2 |
13.3 |
2 |
13.3 |
0 |
0.0 |
15 |
| Papua | 12 |
75.0 |
1 |
6.3 |
0 |
0.0 |
2 |
12.5 |
1 |
6.3 |
16 |
| Riau | 64 |
62.1 |
13 |
12.6 |
10 |
9.7 |
3 |
2.9 |
13 |
12.6 |
103 |
| Sulbar | 4 |
57.1 |
0 |
0.0 |
2 |
28.6 |
1 |
14.3 |
0 |
0.0 |
7 |
| Sulsel | 231 |
47.3 |
66 |
13.5 |
60 |
12.3 |
54 |
11.1 |
77 |
15.8 |
488 |
| Sulteng | 13 |
54.2 |
1 |
4.2 |
6 |
25.0 |
0 |
0.0 |
4 |
16.7 |
24 |
| Sultra | 8 |
50.0 |
1 |
6.3 |
3 |
18.8 |
1 |
6.3 |
3 |
18.8 |
16 |
| Sulut | 2 |
16.7 |
2 |
16.7 |
5 |
41.7 |
2 |
16.7 |
1 |
8.3 |
12 |
| Sulut | 38 |
62.3 |
7 |
11.5 |
4 |
6.6 |
4 |
6.6 |
8 |
13.1 |
61 |
| Sumbar | 223 |
44.6 |
64 |
12.8 |
62 |
12.4 |
37 |
7.4 |
114 |
22.8 |
500 |
| Sumsel | 68 |
56.2 |
4 |
3.3 |
23 |
19.0 |
6 |
5.0 |
20 |
16.5 |
121 |
| Yogyakarta | 689 |
53.7 |
90 |
7.0 |
180 |
14.0 |
104 |
8.1 |
221 |
17.2 |
1284 |
| Total | 5384 |
56.1 |
917 |
9.5 |
1230 |
12.8 |
668 |
7.0 |
1406 |
14.6 |
9605 |
Figure 5 shows that there are several patterns in the distribution of the percentage of LQ45 share ownership in Indonesia. In this case, we can observe that the eastern part of Indonesia tends to have a higher risk profile. This can be seen by the average share ownership of LQ45 below 30%. It can be also seen that the area around North Sumatra, which is where the majority of the Batak tribe live, has a moderate risk profile. In addition, West Sumatra Province, which is inhabited by the Minangkabau tribe, has a lower risk profile compared to other regions.
Interesting things can be seen on the island of Java, where most of the samples were taken. The island of Java is generally inhabited by two ethnic groups, which are the majority, namely the Sundanese and the Javanese. The Sundanese are scattered in Banten Province and West Java Province, while the Javanese are spread across areas of Central Java, Yogyakarta and East Java. From the results in Figure 5, it can be seen that areas where the majority are inhabited by the Sundanese tend to have a higher risk preference than the Javanese.
In this case, DKI Jakarta is the capital city area that has a component of investors who have a desire to achieve bigger returns. Urban areas are those which have many other factors that support the courage to invest more and in assets that have a higher risk (Liyanova, 2016). Research conducted by Ji, Zhang, & Guo (2008) in Canada also reveals that the cultural relationship between white people and people of Asian descent causes differences in their investment decisions. In Malaysia, Albaity & Rahman (2012) also revealed a relationship between financial behavior and culture. Their research shows that there is a significant influence of ethnic and religious variables on investment patterns. Research conducted by Arshad & Ibrahim (2019) also concludes that an area is bound by culture where this has an impact on investment perspectives.
The next test is the ANOVA calculation, which determines and compares data from several groups. The sequence in the test begins with a) descriptive ANOVA, b) homogeneity, c) ANOVA test, and d) Tukey test and similarity of patterns.
The table provides information related to LQ45 share ownership and all provinces in Indonesia where investors live. From the table, we can see that the province of East Java, with a sample of 171 investors, proved to have the highest percentage of LQ45 shares compared to other provinces in Java.
This finding proves that investors who live in East Java have a tendency to display investment behavior that is not too risky. We can also see that DKI Jakarta province is the main area with investors who have the lowest percentage of LQ45 shares compared to other provinces, and this finding explains that metropolitan areas have an impact on increasing courage in investing.
| Area | N |
Mean |
Std. Deviation |
Std. Error |
95% Confidence Interval for Mean |
Min |
Max |
|
Lower Bound |
Upper Bound |
|||||||
| Aceh | 164 |
0.2601 |
0.34177 |
0.02669 |
0.2074 |
0.3128 |
0.00 |
1.00 |
| Babel | 40 |
0.3585 |
0.39352 |
0.06222 |
0.2326 |
0.4844 |
0.00 |
1.00 |
| Bali | 3 |
0.4967 |
0.21362 |
0.12333 |
-0.0340 |
10.273 |
0.25 |
0.62 |
| Banten | 280 |
0.2726 |
0.34942 |
0.02088 |
0.2315 |
0.3137 |
0.00 |
1.00 |
| Bengkulu | 146 |
0.3466 |
0.38166 |
0.03159 |
0.2841 |
0.4090 |
0.00 |
1.00 |
| Gorontalo | 4 |
0.0000 |
0.00000 |
0.00000 |
0.0000 |
0.0000 |
0.00 |
0.00 |
| Jabar | 472 |
0.2890 |
0.36350 |
0.01673 |
0.2562 |
0.3219 |
0.00 |
1.00 |
| Jakarta | 2360 |
0.2433 |
0.32265 |
0.00664 |
0.2303 |
0.2563 |
0.00 |
1.00 |
| Jambi | 569 |
0.3460 |
0.40011 |
0.01677 |
0.3130 |
0.3789 |
0.00 |
1.00 |
| Jateng | 1454 |
0.3514 |
0.39041 |
0.01024 |
0.3313 |
0.3715 |
0.00 |
1.00 |
| Jatim | 301 |
0.3906 |
0.40123 |
0.02313 |
0.3451 |
0.4361 |
0.00 |
1.00 |
| Kalbar | 389 |
0.2465 |
0.30545 |
0.01549 |
0.2161 |
0.2770 |
0.00 |
1.00 |
| Kalsel | 90 |
0.2667 |
0.34429 |
0.03629 |
0.1946 |
0.3388 |
0.00 |
1.00 |
| Kaltara | 27 |
0.3289 |
0.28064 |
0.05401 |
0.2179 |
0.4399 |
0.00 |
0.85 |
| Kalteng | 232 |
0.3638 |
0.40672 |
0.02670 |
0.3111 |
0.4164 |
0.00 |
1.00 |
| Kaltim | 75 |
0.3959 |
0.42325 |
0.04887 |
0.2985 |
0.4932 |
0.00 |
1.00 |
| Kepri | 41 |
0.3688 |
0.42848 |
0.06692 |
0.2335 |
0.5040 |
0.00 |
1.00 |
| Lampung | 180 |
0.3404 |
0.38345 |
0.02858 |
0.2840 |
0.3968 |
0.00 |
1.00 |
| Maluku | 2 |
0.2550 |
0.36062 |
0.25500 |
-29.851 |
34.951 |
0.00 |
0.51 |
| Malut | 24 |
0.2488 |
0.31060 |
0.06340 |
0.1176 |
0.3799 |
0.00 |
1.00 |
| NTB | 90 |
0.2742 |
0.33833 |
0.03566 |
0.2034 |
0.3451 |
0.00 |
1.00 |
| NTT | 15 |
0.1613 |
0.33993 |
0.08777 |
-0.0269 |
0.3496 |
0.00 |
1.00 |
| Pabar | 15 |
0.2580 |
0.28049 |
0.07242 |
0.1027 |
0.4133 |
0.00 |
0.68 |
| Papua | 16 |
0.1819 |
0.31545 |
0.07886 |
0.0138 |
0.3500 |
0.00 |
0.85 |
| Riau | 103 |
0.2514 |
0.35336 |
0.03482 |
0.1823 |
0.3204 |
0.00 |
1.00 |
| Sulbar | 7 |
0.2786 |
0.33002 |
0.12474 |
-0.0266 |
0.5838 |
0.00 |
0.67 |
| Sulsel | 488 |
0.3706 |
0.36682 |
0.01661 |
0.3380 |
0.4033 |
0.00 |
1.00 |
| Sultara | 16 |
0.3588 |
0.39966 |
0.09992 |
0.1458 |
0.5717 |
0.00 |
1.00 |
| Sulteng | 24 |
0.3638 |
0.37631 |
0.07681 |
0.2048 |
0.5227 |
0.00 |
1.00 |
| Sulut | 12 |
0.5067 |
0.27720 |
0.08002 |
0.3305 |
0.6828 |
0.00 |
0.88 |
| Sumbar | 500 |
0.4078 |
0.39415 |
0.01763 |
0.3731 |
0.4424 |
0.00 |
1.00 |
| Sumsel | 121 |
0.3267 |
0.38974 |
0.03543 |
0.2565 |
0.3968 |
0.00 |
1.00 |
| Sumut | 61 |
0.2710 |
0.35965 |
0.04605 |
0.1789 |
0.3631 |
0.00 |
1.00 |
| Yogya | 1284 |
0.3423 |
0.38849 |
0.01084 |
0.3211 |
0.3636 |
0.00 |
1.00 |
| Total | 9605 |
0.3134 |
0.36968 |
0.00377 |
0.3060 |
0.3207 |
0.00 |
1.00 |
Table 22 provides a description of all regions of investors and the average percentage ownership of LQ45 shares. The description of the domicile area is continued by grouping the ten domicile areas with the largest number of investors and then proceeding to sort the LQ45 shareholdings. The order information is presented in Figure 6.
Figure 6 shows that DKI Jakarta is an area dominated by risk-taking investors. Also, the top ten regions are known to be all under 0.5 or 50% of LQ45 share ownership. This indicates that these ten regions are areas containing investors who are willing to take risks.
| Table 23. Homogeneity of ANOVA of investors' domicile regions. |
Levene Statistic |
df1 |
df2 |
Sig. |
18.033 |
33 |
9571 |
0.000* |
| Note: * Significant at the < 0.05 level. |
Table 23 shows the homogeneity of investors' domicile areas, and the LQ45 share ownership provides an overview of the data and information used that differs from one another. This condition is due to the value of Sig. being below 0.05, which indicates that the data is heterogeneous. The impact of the difference in data indicates that the behavior of investors related to LQ45 share ownership and the investors' domicile areas is known to be different from one another.
Sum of Squares |
df |
Mean Square |
F |
Sig. |
|
| Between groups | 30.450 |
33 |
0.923 |
6.888 |
0.000* |
| Within groups | 1.282 |
9571 |
0.134 |
||
| Total | 1.312 |
9604 |
| Note: * Significant at the < 0.05 level. |
Table 24 shows the results of the ANOVA which provides information related to the existence of significant differences in investment behavior from the percentage of LQ45 share ownership as a result of the investors' domicile areas. The value of Sig. is below 0.05, and this indicates that the domicile area of an investor has an impact on the difference in LQ45 share ownership. Based on the results above, the hypothesis "domicile area affects investment decisions" can be accepted. This result is in accordance with the results obtained by Arshad & Ibrahim (2019), who found that an area is bound by culture, which has an impact on investment and risk perspectives. Kapoor (2016) stated that people living in urban areas have different characteristics in terms of investment choices.
Demographic variables, such as age, occupation and income, affect investment decisions, as shown by the variable of LQ45 stock ownership because the demographic background affects decision-making. For instance, older investors tend to be more conservative in their stock selection. Additionally, people in the work-related education group are more conservative than those in other groups. In terms of income, the highest income group (above IDR 1 billion) is more aggressive than other groups.
Investor behavior based on gender can be distinguished descriptively based on the LQ45 stock ownership. In each year, there are differences in LQ45 stock ownership. When grouped during the research period, only 0.6% is adrift. Furthermore, the t-test did not find a significant difference, meaning that males and females have the same investment behavior. Unemployed investors tend to like risk as opposed to academic groups. The ANOVA test showed significant differences in the groups of employees, the unemployed, and academics. Also, there were differences descriptively in risk-taking based on income. Investors with income above IDR 1 billion are the most risk-seeking, while those earning below IDR 10 million tend to avoid risks. Moreover, differences in investor income affect financial behavior. The age grouping showed that young people tend to have a higher percentage of non-LQ45 stocks than the elderly. The ANOVA test revealed that there are significant differences based on age. Therefore, age grouping is appropriate and helps us to understand the profiles of investors. Demographic information provides a different pattern regarding LQ45 share ownership; this is closely related to how much an investor likes taking risks. Overall, if we follow the average, it is known that investors in Indonesia tend to like risk, as seen from the proportion of LQ45 share ownership. The conditions that occur require investors to have good risk management in order to remain able to manage shares fairly.
| Funding: This study received no specific financial support. |
| Competing Interests: The authors declare that they have no competing interests. |
| Authors’ Contributions: All authors contributed equally to the conception and design of the study. |
Abbott, L., Parker, S., & Peters, G. (2002). Audit committee characteristics and restatement. Auditing: A Journal of Practice and Theory, 23(1), 69-87.
Albaity, M., & Rahman, M. (2012). Behavioural finance and Malaysian culture. International Business Research, 5(11), 65-76. Available at: https://doi.org/10.5539/ibr.v5n11p65.
Amari, M., Salhi, B., & Jarboui, A. (2020). Evaluating the effects of sociodemographic characteristics and financial education on saving behavior. International Journal of Sociology and Social Policy, 1(2), 1-17.
Ansari, Y. (2019). Age and the investment patterns-an empirical analysis. Wealth, 8(1), 80-82.
Arano, K., Parker, C., & Terry, R. (2010). Gender-based risk aversion and retirement asset allocation. Economic Inquiry, 48(1), 147-155. Available at: https://doi.org/10.1111/j.1465-7295.2008.00201.x.
Arianti, B. F. (2018). The influence of financial literacy, financial behavior and income on investment decision. EAJ (Economic and Accounting Journal), 1(1), 1-10.
Arifin, A. Z. T. (2017). The influence of financial knowledge, control and income on individual financial behavior. European Research Studies Journal, 20(3A), 635-648. Available at: https://doi.org/10.35808/ersj/734.
Arshad, I., & Ibrahim, Y. (2019). Uncertainty avoidance, risk avoidance and perceived risk: A cultural perspective of individual investors. Hasanuddin Economics and Business Review, 3(1), 21-33. Available at: https://doi.org/10.26487/hebr.v3i1.1836.
Barber, B. M., & Odean, T. (2001). Boys will be boys: Gender, overconfidence, and common stock investment. The Quarterly Journal of Economics, 116(1), 261-292. Available at: https://doi.org/10.1162/003355301556400.
Bernheim, B. D., Garrett, D. M., & Maki, D. M. (2001). Education and saving: The long-term effects of high school financial curriculum mandates. Journal of Public Economics, 80(3), 435-465.
Bhandari, G., & Deaves, R. (2006). The demographics of overconfidence. The Journal of Behavioral Finance, 7(1), 5-11. Available at: https://doi.org/10.1207/s15427579jpfm0701_2.
Bhavani, G., & Shetty, K. (2017). Impact of demographics and perceptions of investors on investment avenues. Accounting and Finance Research, 6(2), 198-205. Available at: https://doi.org/10.5430/afr.v6n2p198.
Bhayani, M., & Patankar, S. (2016). Critical analysis of mutual fund Industry an approach towards causes for low penetration among individual Investors with special reference to Nashik district. Thesis. Budruk (ID): Sinhgad Institute of Management.
Bhola, S., Shah, V., & Zanwar, P. (2012). A study of relationship between occupation and individual investment. Sinhgad International Business Review, 5(1), 9-19.
Bhushan, P., & Medury, Y. (2013). Gender differences in investment behaviour among employees. Asian Journal of Research in Business Economics and Management, 3(12), 147-157.
Constantine, C., & Suk, K. S. (2017). Stock return and trading volume in LQ45 index. Journal of Bussiness & Applied Management, 10(2), 124–137. Available at: https://doi.org/10.30813/jbam.v10i02.932.
Das, S., & Jain, R. (2014). A study on the influence of demographical variables on the factors of investment-a perspective on the Guwahati region. International Journal of Research in Humanities, Arts and Literature, 2(6), 97-102.
Eckel, C. C., & Grossman, P. J. (2008). Men, women and risk aversion: Experimental evidence. Handbook of Experimental Economics Results, 1(13), 1061-1073. Available at: https://doi.org/10.1016/S1574-0722(07)00113-8.
Evans, J. L. (2004). Wealthy investor attitudes, expectations, and behaviors toward risk and return. The Journal of Wealth Management, 7(1), 12-18. Available at: https://doi.org/10.3905/jwm.2004.412350.
Geetha, N., & Ramesh, M. (2012). A study on relevance of demographic factors in investment decisions. Perspectives of Innovations, Economics & Business, 10(1), 14 – 27. Available at: https://doi.org/10.15208/pieb.2012.02.
Grable, J., & Lytton, R. H. (1999). Financial risk tolerance revisited: The development of a risk assessment instrument☆. Financial Services Review, 8(3), 163-181. Available at: https://doi.org/10.1016/s1057-0810(99)00041-4.
Hassan, T. R., Khalid, W., & Habib, A. (2014). Overconfidence and loss aversion in investment decisions: A study of the impact of gender and age in Pakistani perspective. Research Journal of Finance and Accounting, 5(11), 148-157.
Ibrahim, M., & Adib, N. (2018). The behavior of individual investors in making stock investment decisions (a case study on individual stock investors in Malang) (in Bahasa Indonesia). FEB Student Scientific Journal, 7(1), 1-9.
Jagatha, A. (2018). Some of these traits are 'advantages' of women in investing (in Bahasa Indonesia). Jakarta (ID) Jagatha Advisor.
Jain, D., & Mandot, N. (2012). Impact of socio-demographic factors on investment decision of investors in Rajasthan. Journal of Arts, Science and Commerce, 2(3), 81-92.
Jamil, S., & Khan, K. (2016). Does gender difference impact investment decisions? Evidence from Oman. International Journal of Economics and Financial Issues, 6(2), 456-460.
Ji, L. J., Zhang, Z., & Guo, T. (2008). To buy or to sell: Cultural differences in stock market decisions based on price trends. Journal of Behavioral Decision Making, 21(4), 399-413. Available at: https://doi.org/10.1002/bdm.595.
Kapoor, K. (2016). An empirical research on the investment behaviour of rural and urban investors towards various investment avenues: A case study of Moradabad region. TMIMT International Journal, 2(2), 151-156.
Kim, T. K. (2015). T test as a parametric statistic. Korean Journal of Anesthesiology, 68(6), 540-546. Available at: https://doi.org/10.4097/kjae.2015.68.6.540.
Kim, T. K. (2017). Understanding one-way ANOVA using conceptual figures. Korean Journal of Anesthesiology, 70(1), 22-26. Available at: https://doi.org/10.4097/kjae.2017.70.1.22.
Kiran, D., & Rao, U. S. (2005). Identifying investor group segments based on demographic and psychographic characteristics. Paper presented at the 8th Capital Markets Conference, Indian Institute of Capital Markets Paper.
Korniotis, G. M., & Kumar, A. (2011). Do older investors make better investment decisions? The Review of Economics and Statistics, 93(1), 244-265. Available at: https://doi.org/10.1162/rest_a_00053.
Lestari, W., & Kuntarti, W. (2014). Investor behavior in the capital market in Lampung (in Indonesian). Research Journal, 1(2), 21-35.
Liyanova, V. (2016). The Western Balkans frontline of the migrant crisis. European Parliament, 7(1), 1-10.
Loke, Y.-J. (2017). The influence of socio-demographic and financial knowledge factors on financial management practices of Malaysians. International Journal of Business and Society, 18(1), 33-50. Available at: https://doi.org/10.33736/ijbs.488.2017.
Lutfi. (2012). The relationship between demographic factors and investment decision in Surabaya. Journal of Economics, Business and Accountancy Ventura, 13(3), 213-224. Available at: https://doi.org/10.14414/jebav.v13i3.13.
MacCrimmon, K., & Wehrung, D. (1986). Taking risks: The management of uncertainty. New York (US): Free Press.
Mead, R., Gilmour, S., & Mead, A. (2012). Statistical principles for the design of experiments: Applications to real experiments. Cambridge (UK): Cambridge University Press.
Mitton, T., & Keith, V. (2007). Equilibrium underdiversification and the preference for skewness. Review of Financial Studies, 20(4), 1255-1288. Available at: https://doi.org/10.1093/revfin/hhm011.
Montgomery, D. C. (2017). Design and analysis of experiments. Hoboken, NJ: John Wiley & Sons.
Nairn, A. (2005). Beyond Sandler: Risk tolerance and the UK investment deficit. Journal of Financial Services Marketing, 9(4), 375-389. Available at: https://doi.org/10.1057/palgrave.fsm.4770167.
Nguyen, T., & Schuessler, A. (2012). Investment decisions and socio-demographic characteristics–empirical evidence from Germany. International Journal of Economics and Finance, 4(9), 1-12. Available at: https://doi.org/10.5539/ijef.v4n9p1.
Putri, W., & Hamidi, M. (2019). The effect of financial literacy, financial efficacy, and demographic factors on investment decision making (a case study on a management master student at the Faculty of Economics, Andalas Padang University) (In Bahasa Indonesia). Scientific Journal of Management Economics Students, 4(1), 398-412.
Ricciardi, V., & Simon, H. K. (2000). What is behavioral finance? Business, Education & Technology Journal, 2(2), 1-9.
Riley, J. W. B., & Chow, K. V. (1992). Asset allocation and individual risk aversion. Financial Analysts Journal, 48(6), 32-37. Available at: https://doi.org/10.2469/faj.v48.n6.32.
Rizvi, R., & Abrar, A. (2015). Factors affecting an individual investor behavior- an empirical study in twin cities (Rawalpindi and Islamabad) of Pakistan. SS International Journal of Economics and Management, 5(5), 1-27.
Sasongko, S. (2009). Gender concepts and theories (in Bahasa Indonesia). Jakarta(ID): BKKBN.
Saung, J., & Hanna, S. (1996). Factors related to risk tolerance. Journal of Financial Counseling and Planning, 1(7), 7-11.
Scott, S. G., & Bruce, R. A. (1995). Decision-making style: The development and assessment of a new measure. Educational and Psychological Measurement, 55(5), 818-831. Available at: https://doi.org/10.1177/0013164495055005017.
Sherman, H. D., Wang, C., & Yuh, Y. (2010). Racial/ethnic differences in high return investment ownership: A decomposition analysis. Journal of Financial Counseling and Planning, 21(2), 44-59.
Srijanani, D., & Vijaya, T. (2018). A study on impact of gender in investment decisions. Journal of Management Research and Analysis, 5(2), 161-165. Available at: https://doi.org/10.18231/2394-2770.2018.0025.
Subramaniam, V., & Athiyaman, T. (2016). The effect of demographic factors on investor's risk tolerance. International Journal of Commerce and Management Research, 2(3), 136-142.
Tanusdjaja, H. (2018). Individual investors' investment decisions are based on competence, overconfidence, and education (in Bahasa Indonesia). Estuarine Journal of Economics and Business, 2(1), 234-244.
Ton, H. T. H., & Nguyen, T. M. P. (2014). The impact of demographical factors on investment decision: A study of Vietnam stock market. International Journal of Economics and Finance, 6(11), 83-89. Available at: https://doi.org/10.5539/ijef.v6n11p83.
Walpole, R. (1995). Introduction to Statistics (in Bahasa Indonesia). Jakarta (ID): PT Gramedia Pustaka Utama.
Wang, H., & Hanna, S. (1997). Does risk tolerance decrease with age? Financial Counseling and Planning, 8(2), 27-31.
Warren, W. E., Stevens, R. E., & McConkey, C. W. (1990). Using demographic and lifestyle analysis to segment individual investors. Financial Analysts Journal, 46(2), 74-77. Available at: https://doi.org/10.2469/faj.v46.n2.74.
WHO. (2017). World population ageing. New York (US): United Nations.
Views and opinions expressed in this article are the views and opinions of the author. Asian Economic and Financial Review shall not be responsible or answerable for any loss, damage or liability caused in relation to/arising from the use of the content. |