Index

Real estate development, human capital, and economic growth in Kenya

Mutuku, Rainard Munyao1+ --- Nyambuto, Kennedy Ocharo2 --- Ochenge, Rogers Ondiba3

1,2,3Department of Economics, University of Embu, Kenya.

ABSTRACT

The purpose of this study is to investigate the effect of real estate development and human capital on economic growth in Kenya by endogenizing the central bank rate and inflation as additional key variables that affect economic growth. This paper employs an autoregressive distributed lag (ARDL) model to analyze quarterly time series data spanning from the first quarter of 2009 to the fourth quarter of 2019. The results reveal that real estate development has a positive and significant impact on economic growth in the short run. The study also establishes a long-run relationship between real estate development, the central bank rate, inflation and economic growth. Specifically, the study establishes that inflation and the central bank rate are negatively and significantly associated with economic growth in the long run. This study makes significant progress in providing empirical evidence on the effect of real estate development, human capital, the central bank rate and inflation on economic growth in Kenya. Additionally, these findings are useful to all economies across the world, particularly developing countries such as Kenya. This study recommends the formulation of policies to encourage investment in real estate development and human capital, as they are crucial for economic growth in Kenya and other developing countries.

Keywords:ARDL, Central bank rate, Economic growth, Human capital, Inflation, Real estate development.

ARTICLE HISTORY: Received:10 February 2023, Revised:24 March 2023, Accepted:13 April 2023, Published:5 May 2023

JEL Classification:E31; E43; J24.

Contribution/Originality: To the best of our knowledge, this is the first study which utilizes the ARDL model to investigate how economic growth is influenced by investment in the real estate sector, and how human capital is endogenized by inflation and the central bank rate in Kenya.

1. INTRODUCTION

Globally, economists have exhibited renewed interest in determining long-run economic growth over the past quarter-century (Mose, 2021). Clearly, this has been exemplified through growth research which has progressed in both theoretical and empirical arenas (Nyoni & Bonga, 2018). While there are many opposing views on factors that influence economic growth, in many developed and emerging countries, most growth studies have emphasized the importance of real estate development and human capital in accelerating economic growth (Eric A Hanushek, 2016). Additionally, Agalega and Antwi (2013); Branch et al. (2014) noted that the formulation of favorable macroeconomic conditions, such as controlled inflation and low lending rates, play a crucial role in enhancing a country’s economic growth. In every country, growth in gross domestic product (GDP) is the most important metric for assessing an economy's performance (Gesare, 2016). High and stable economic growth leads to improved living standards among citizens, improved health systems, reduced poverty, increased life expectancy, increased investments, improved education systems and increased per capita income among the citizens (Elile, Akpan, & Raju, 2019). However, for a country to attain a stable economy, it has to concentrate on the major determinants of economic growth (Mihaela, Lazányi, Sopková, Dobeš, & Adam, 2017). These determinants include the adoption of advanced and modern technology in the production of goods, formulating favorable economic policies (macroeconomic conditions such as low lending rates and regulated inflation), and concentrating on investment in various sectors, such as real estate, tourism, mining, and education, as suggested by both endogenous and neoclassical growth models (Chirwa & Odhiambo, 2019).

In developing countries such as Kenya, the rate of economic growth has been low compared to the projected rate each year (Chuku, Simpasa, & Oduor, 2019). As a way of accelerating economic growth, the Kenyan government launched the Kenya Vision 2030 in 2003. This plan has three ambitious objectives, and economic growth was given priority as it paves the way for improving the wealth of all citizens through sustaining an economic growth rate of 10% per annum for a period of 28 years (Yakubu et al., 2020).  However, this target has not been achieved (Musau, Muathe, & Mwangi, 2018). For instance, from 2002 to 2007, the country was in a phase of economic growth which led to a rise in GDP from 0.5% in 2002 to 6.9% in 2007. This growth was accelerated by the establishment of a favorable environment and the implementation of bold economic policy and structural reforms under the Economic Recovery Strategy. According to Naftaly (2021), Kenya had an average GDP growth of 4.9% between 2010 and 2017. In 2019, the real GDP growth rate was 5.4%, which was a drop from 6.4% in 2018. A study by Srithilat, Khamthoummabounmy, Lienpaserth, and Chanthavixay (2022) showed that Kenya's economy grew at a rate of 5.7% on average from 2015 to 2019. In 2020, Kenya’s economy contracted to -0.3 % due to the effects of COVID-19 (Kithiia, Wanyonyi, Maina, Jefwa, & Gamoyo, 2020). Wepukhulu and Otieno (2019) noted that high levels of inflation and high lending rates have highly contributed to low and fluctuating economic growth in Kenya.

For the prosperity of an economy, Mallick, Mahalik, and Sahoo (2018) indicated that investment is a very basic determinant of economic growth and it should be given priority for its expansion as the country strives to achieve the set levels of economic growth. To accelerate GDP growth in Kenya, the government directed more resources to the real estate and education sectors (Mukui, Awiti, & Onjala, 2019). Mwangi (2020) noted that 61% of the urban population live in slums due to the housing deficit, which indirectly impacts the economic growth of the country negatively. Ojike et al. (2021) noted that countries with high investment levels in human capital grow faster compared to those with low levels in this respect. The government has also focused on middle level education where it has unveiled ambitious and comprehensive plans to transform the country to a middle-income economy through education by 2030. However, there is limited empirical evidence whose results have produced different views on the effect of real estate development and human capital (through tertiary education) on economic growth in Kenya.

Bearing in mind the numerous benefits associated with high and stable economic growth in a country, and in line with the Kenya Vision 2030, this study investigates how economic growth in Kenya has been affected by real estate development and investment in human capital. The central bank rate and inflation were also added into the model as they are crucial determinants of economic growth (Schultz, 1961). This study will add to the existing knowledge on the relationship between real estate development, human capital (tertiary education) and economic growth.

1.1. Real Estate Development, Human Capital and Economic Growth in Kenya

The influence of real estate development and human capital on economic growth is well captured by the neoclassical and endogenous growth models (Ali, Egbetokun, & Memon, 2018). Real estate development plays a huge role in economic growth through creating employment opportunities, including suppliers of construction materials, contractors, land developers, and labor from skilled and unskilled citizens, which contribute to alleviating poverty among citizens and enhancing income distribution (Kong, Glascock, & Lu-Andrews, 2016). However, empirically, the contribution of real estate and human capital to the Kenyan economy has remained minimal over the decades. Over the years, Kenya has created a favorable environment for real estate development. Since 2000, the real estate sector in Kenya has experienced a boom due to the high demand for properties in the market created by its increasing population. This has attracted investment from foreigners and multinational companies and dominates in most major towns and cities, such as Machakos, Kiambu, Kisumu, Mombasa, and Nairobi City, in response to the high demand (Mburugu, Rintari, & Mutea, 2021). Kenya’s constitution of 2010 acknowledges that housing is a basic human right, and the government has been putting more resources into realizing this progressive right (Mwangi & Mwenda, 2021). Although the sector has grown within the last two decades, its contribution to economic growth has not been as projected (Mwangi, 2020).

According to Schultz (1961); Mankiw, Romer, and Weil (1992) and Ogundari and Awokuse (2018), human capital is widely recognized as a key tool for boosting economic prosperity as it improves national understanding and respect, encourages good environmental and health behaviors, and produces self-disciplined individuals who value hard work, hence leading to poverty alleviation within a country. In some of the early work on the economics of education, the link between education and economic growth was founded on the notion that an educated population provides a better workforce with a greater potential to produce as they are numerate, more literate, and easy to train on the use of new technology. Additionally, the educated population can adjust their work habits, particularly their awareness of time and dependability, as well as reflect on the results of their work thereby boosting economic growth (Otieno, 2016).

As a way of boosting economic growth through the Sustainable Development Goals (SDGs), investment in human capital (education) in developed, emerging and developing countries is given priority, as its importance on accelerating economic growth through improving productivity and reducing poverty is well documented (Eggoh, Houeninvo, & Sossou, 2015). Through human capital, participants in the real estate sector are able to acquire new knowledge and skills which facilitates innovations and the adoption of new technology, which develops the skills of workers in the real sector and boosts economic growth in the long run (Squicciarini et al., 2014). Bearing in mind the crucial role played by the educated population, it has been shown that Kenya's trained workforce, particularly trained graduates, find it difficult to create jobs in the labor market and instead seek employment in both the private and public sectors (Otieno, 2016). Considering that keen focus has been directed to sectors such as education and real estate where a huge amount of budget is allocated to finance their operations, their contribution to economic growth still remains below the projected rate (Grant, 2017).

Different factors, such as inflation and lending rates, have been identified to have an influence on economic growth (Agalega & Antwi, 2013). For instance, when the central bank’s lending rate is high, the commercial banks also raise their lending rates. Loans become more expensive for many investors since only a small percentage can afford to borrow, and lowering the funds available in the hands of consumers and investors leads to negative effects on economic growth. When lending rates are low, on the other hand, loans become less expensive and thus more available to consumers for spending, thus boosting the economy (Chowdhury, Hamid, & Akhi, 2019). Early work of Keynesian theorists and the monetarist school of economic thought concluded that inflation has a negative effect on economic growth if not properly regulated. For instance, when the rate of inflation is high, the cost of goods and services rises dramatically, negatively impacting the economy. When inflation is restrained, on the other hand, the economy is favorably impacted, resulting in its growth. Currently, the lending rates in Kenya are high as a result of the upward trend of inflation, a situation which calls for an empirical study to highlight the impact of inflation and lending rates on the country’s economy.

2. RELATED LITERATURE

2.1. Real Estate and Economic Growth

A study conducted by Anaman, Amponsah, Anaman, and Osei-Amponsah (2017) on the link between the growth of the construction industry and the macro-economy in Ghana, applied annual time series data for 1968 to 2004. The findings revealed that growth in the construction industry was associated with economic growth with a three-year lag. Another study on Nigeria from 1981 to 2016 by Ayomitunde, Akindele, and Abaka (2019) found that real estate development had a positive but insignificant effect on economic growth in the long run. However, a study by Gesare (2016) in Kenya revealed that high demand for real estate property in Kisii county spurred investment in the sector and was associated with economic growth in the long run.

Bolkol (2015) applied vector autoregressive (VAR) Granger causality to analyze the causal relationship between GDP growth and construction production in Turkey and found that there was no long-run relationship between the two. In addition, the results revealed that GDP growth led to construction production in the short run, a scenario which contradicts the results of Anaman et al. (2017).

Alagidede and Mensah (2018) employed the panel generalized methods of moments (GMM) to evaluate the nexus between economic growth, construction industry and institutions in Sub-Saharan Africa (SSA). The study found that the construction industry had a positive impact on economic growth within the SSA countries. Using secondary data, Nkechi (2018) employed the ordinary least squares (OLS) technique to investigate the influence of housing finance on West African countries (Ghana, Nigeria and Gambia). The results portrayed that housing finance in the three countries had a positive insignificant effect on economic growth. Hanişoğlu and Azer (2017) utilized time series data to evaluate the impact of housing loans on economic growth in Turkey. The study found that high housing demand together with improved credit facilities led to economic growth.

2.2. Human Capital and Economic Growth

Pegkas (2014) adopted the model used by Mankiw et al. (1992) to determine the nexus between education levels and economic growth proxied through primary, secondary and tertiary levels of education in Greece. The study revealed the presence of a long-run relationship between GDP and education. These results are consistent with those of Faisal and Abdul Waheed (2011) and Hakooma (2017), who established a positive relationship between human capital and economic growth. Similar studies from African countries revealed that primary, secondary and higher education levels have a positive significant effect on per capita income (Gyimah-Brempong, Paddison, & Mitiku, 2006). On the contrary, a study by Adawo (2011) showed that secondary and tertiary education had a negative effect on economic growth in Nigeria.

Using enrolment rates in primary, secondary and tertiary education as proxies for human capital in India, Kotásková et al. (2018) carried out a study on the role of education on economic growth. The results showed that all three levels of education contributed significantly to economic growth. Nowak and Dahal (2016) applied the ordinary least squares method to determine the contribution of education to economic growth in Nepal, and the results indicated that all three levels of education contributed to real GDP in Nepal and other Asian countries. These results are consistent with those of Amir, Khan, and Bilal (2015).

Bhorat, Cassim, and Tseng (2016) utilized the modified Cobb–Douglas production function to investigate the interaction between higher education (human capital), employment, and economic growth. Their results revealed that higher education is a strong predictor of economic growth through the employment of workers who possess the required knowledge in the labor market. In South Asian Association for Regional Cooperation (SAARC) countries, Hanif and Arshed (2016) applied the fully modified ordinary least squares (FMOLS) technique to investigate the nexus between economic growth and school education. The results indicated that the enrollment ratio for tertiary education was more impactful in accelerating economic growth compared to the enrollment ratio for both primary and secondary levels.

2.3. Inflation, Lending Rates and Economic Growth

Using correlation and multiple linear regression analyses to evaluate the impact of macroeconomic variables on economic growth in Bangladesh, Chowdhury et al. (2019) utilized panel data spanning from 1987 to 2015. Their results showed that inflation and lending rates are negatively and significantly related to economic growth. Adaramola and Dada (2020) applied the autoregressive distributed lag (ARDL) model to investigate the effect of inflation on economic growth in Nigeria. The study revealed that inflation had a significant negative impact on economic growth, while lending rates had a significant positive impact on economic growth. These results confirm the work of Ndoricimpa and John (2017) but contradict the work of Agalega and Antwi (2013), who stated that lending rates had a negative relationship with economic growth, while inflation had a significant positive impact on economic growth.

A study by Abueid (2020) used time series data spanning from 2015 to 2019 to assess the influence of macroeconomic variables on economic growth in Middle East countries, and the results showed that inflation had a significant positive effect on economic growth. This outcome is in line with the work of Agalega and Antwi (2013) but contradicts the work of Jibrilla and Bawuro (2018). Using the ARDL model to determine the drivers of economic growth in Pakistan, Shahbaz, Ahmad, and Chaudhary (2008) found that inflation decelerated economic growth during the study period.

Nyoni and Bonga (2018) revealed that inflation had a negative influence on economic growth in Nigeria. Their results are in agreement with the Keynesian theorists and the monetarist school of thought. Additionally, the study found that lending rates had a negative significant impact on economic growth. Using the error correction method, Yusuf, Isik, and Salisu (2019) revealed that lending rates had an insignificant positive impact on economic growth, while inflation was significantly negatively related to economic growth in Nigeria.

2.4. Overview of the Literature and Research Gap

The empirical studies reviewed have shown the effect of real estate development, human capital, lending rates and inflation on economic growth. However, the findings are inconsistent and lack general conclusiveness on the impact of the independent variables on economic growth. Utilizing the generalized method of moments (GMM) and vector autoregressive (VAR) model, some studies done in Kenya have not comprehensively addressed the effect of real estate development, human capital, lending rates and inflation on economic growth. Therefore, to fill this gap and confirm the results of the previous studies, this study utilizes the autoregressive distributed lag (ARDL) model as it allows the study of a small sample size whose data is stationary at different levels, thus producing estimates whose coefficients are consistent and unbiased, and whose t-statistics are valid, even when some of the regressors are endogenous.

3. METHODOLOGY

3.1. Data

This study employed secondary time-series data for the period from 2009Q1 to 2019Q4, yielding a sample size of 44 observations. Data was obtained from the Kenya National Bureau of Statistics (KNBS) and the Central Bank of Kenya (CBK) through their annual reports.

3.2. Theoretical Framework

This study utilized the Solow growth model, which outlines that capital, labor and technology are the main contributors to economic growth through real estate development. However, Mankiw et al. (1992) augmented the Solow growth model with human capital as an accelerator of economic growth. This study utilizes the Mankiw et al. (1992) model with human capital by incorporating a standard Cobb–Douglas production function, which is represented as:

Model (1) can be log-linearized as follows:

Technological advancement within the real estate sector brings adoption of cost-effective modern building techniques, automation of real estate operations making them efficient and effective, adoption of machine learning in the real estate sector to effectively manage risks, and attractive higher profits and control risks within an economy. All these attract investment in the real estate sector, a scenario which leads to an increase in the output level of an economy. Pierre (1954) outlined that investment in various sectors, such as real estate, contribute to economic growth. Chen and Zhu (2008) and Bao et al. (2021) revealed that the real estate sector contributes significantly to economic growth. Therefore, through the adoption of technology in the real estate sector, Equation 2 can be augmented with real estate sector output as a regressor to have:

Based on the endogenous growth model, the model used by Mankiw et al. (1992), and empirical literature, human capital plays a key role in boosting economic growth through technological progress, which is either imported from developed foreign countries and adopted locally or developed domestically for production purposes. Different models, such as those used by Romer (1990b) and Jorgenson and Fraumeni (1992), emphasize the critical role played by human capital (education) on economic growth. They argued that low levels of human capital can lead to the stagnation of an economy. Therefore, to investigate the effect of human capital (proxied through tertiary education) on economic growth, following previous studies (Brunetti, Kisunko, & Weder, 1998; Hanushek & Kimko, 2000), the relationship between the two can be expressed in log-linear form as follows:

Since this study utilizes the gross enrolment ratio in tertiary education (GERT) as a proxy for human capital, the variable was estimated as per Srithilat et al. (2022) as follows:

Equation 3 can be augmented with human capital (GERT) in Equation 4 as a regressor to have:

Where  is a parameter to be estimated. The other variables are as defined earlier.

As per the Solow model, the prevailing levels of lending rates and inflation within a country determine the amount of capital in circulation. Based on Tobin’s Q theory of investment, the McKinnon–Shaw hypothesis, and the neoclassical theories, lending rates play a cardinal role in determining the economic growth of a country. Moreover, the Keynesian theorists and the modern quantity theory of money noted that inflation greatly impacts the level of output in an economy. Additionally, as per the empirical literature, lending rates and inflation affect economic growth. Thus, lending rates and inflation can be augmented in Equation 5 to have:

Where  and  are parameters to be estimated. The other variables are as defined earlier.

Therefore, in investigating the effects of real estate development, human capital, lending rates and inflation, the model’s functional form can be specified in Equation 7 as:

3.3. Empirical Model

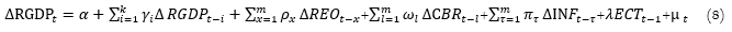
In order to achieve the study objective, the autoregressive distributed lag (ARDL) model brought forward by Pesaran, Shin, and Smith (2001) was adopted. The ARDL model is best suited to this study since it allows the study of a small sample size with different levels of stationarity, such as I(0) and I(1), thus the variables of the estimated model are free from endogeneity problems (Narayan, 2005). Additionally, as per the literature review, the central bank rate and inflation were found to have impact on the output level and were thus added into the model. Compactly, the conventional ARDL error correction model depicting the relationship between the study variables can be represented by Equation 8:

4. EMPIRICAL RESULTS AND DISCUSSION

4.1. Descriptive Statistics

The results in Table 1 indicate that inflation has the highest standard deviation. This implies that inflation was the most fluctuating variable during the study period. Economic growth proxied by RGDP had an average growth of 5.39%, with 11.6% and 0.5% being the maximum and minimum values recorded during the study period. Output from the real estate sector recorded a mean of 7.13%, where its maximum output level was 8.1% and the minimum output was 4.8%. During the study period, human capital represented by GERT recorded a mean of 7.93%, with the highest rate in tertiary enrolment being 11.47% and the lowest being 3.99%, with a 2.69% deviation around the mean. Additionally, the highest bank rate offered by the central bank was 18%, while the lowest rate was 5.92%, with a mean and standard deviation of 9.52% and 2.76%, respectively. In line with the Kenya Vision 2030, the above results show that the country is yet to achieve an economic growth rate of 10%, which can be boosted through deploying more resources to sectors such as real estate and education.

Table 1. Summary statistics of the study variables.
 Variable
Obs.
Mean
Std. dev.
Min.
Max.
 RGDP
44
5.386
1.675
0.500
11.600
 REO
44
7.125
0.970
4.800
8.100
 GERT
44
7.927
2.689
3.993
11.465
 CBR
44
9.523
2.764
5.920
18.000
 INF
44
6.902
3.073
3.330
18.980

4.2. Stationarity Test

Before running the ARDL model, it is recommended that a stationarity test is carried out for time series data. This is crucial as it ensures that the series does not have a unit root, thus generating spurious results. To reject or fail to reject the null hypothesis that the data series has a unit root, the augmented Dickey–Fuller (ADF) unit root test was employed. The results are presented in Table 2.

Table 2. Augmented Dickey–Fuller unit root test.
  Variable
Level
First difference
  Decision
Test statistic
Prob.
Test statistic
Prob.
RGDP
-4.186
0.0047
-
-
I (0)
INF
-4 .942
0.0003
-
-
I (0)
REO
-3.090
0.1085
-2.648
0.0059
I (1)
GERT
-1.689
0.7555
-1.809
0.0392
I (1)
CBR
-3.339
0.0601
-3.781
0.0176
I (1)

Note:

H0: Series has a unit root.

At the 5% significance level, as indicated in Table 2, real gross domestic product (RGDP) and inflation (INF) were stationary at level, I(0), while real estate development (REO), human capital (GERT) and the central bank rate (CBR) were stationary after differencing, thus rejecting the null hypothesis.

Due to the presence of unknown structural break(s), Mallick et al. (2018) noted that the ADF unit root test is likely to generate spurious results since it doesn’t address the unknown breaks within the model. Therefore, this study utilizes the Zivot and Andrews (2002) unit root test, which takes care of any single break within a model. Table 3 presents the results of the Zivot and Andrews (2002) unit root test.

Table 3. Zivot–Andrew's unit root test.
  Variable
Level
First difference
  Decision
Test statistic
Break
Test statistic
Break
RGDP
-5.568
2010q4
-
-
I (0)
INF
-5.272
2011q2
-
-
I (0)
REO
-3.368
2011q3
-7.110
2011q2
I (1)
GERT
-3.249
2013q2
-5.132
2016q2
I (1)
CBR
-4.272
2012q1
-4.898
2012q2
I (1)

Note:

 H0: Series has a unit root with structural break(s).

In Table 3, 2010q4, 2011q2, 2011q3, 2012q1, 2012q2, 2013q2 and 2016q2 represent the time spans in which there was a break.
At the 5% significance level, variables REO, GERT and CBR were integrated at I(1), while RGDP and INF were integrated at I(0), thus rejecting the null hypothesis.

4.3. Optimal Lag Length Selection

To ensure that the residuals are not serially correlated, Lütkepohl (2006) recommended that the appropriate lag length should be chosen, so to do this, the Akaike Information Criterion (AIC) was employed. The results from the ARDL bounds test chose the ARDL (1, 1, 0, 0, 0) model to investigate the effects of real estate development and human capital on economic growth.

4.4. Cointegration Test

The study adopted the Pesaran et al. (2001) ARDL bounds test for cointegration since the series of the data set utilized were integrated of different orders, I(0) and I(1). The idea behind cointegration is that if two or more variables move close together in the long run, they can be considered to define a long-run equilibrium relationship since the difference between them is stationary. Otherwise, the absence of cointegration suggests that the series has no long-term relationship. The null hypothesis is that the variables were not cointegrated. To determine whether the null hypothesis is rejected or not, the study employed the bounds cointegration test.

The ARDL bounds test results in Table 4 reveal the presence of a level relationship as the bounds F-statistics in both models are greater than all the critical values for I(1) regressors at the 10%, 5%, 2.5% and 1% significance levels. Indication of the long-run relationship in the series led to the rejection of the null hypothesis.

Table 4. ARDL bounds test for cointegration.
F-bounds test Null hypothesis: No levels relationship
Objective Investigate the effects of real estate development and human capital on economic growth
F-statistic 13.100
Selected lag length ARDL (1, 1, 0, 0, 0)
K 4
 
Significance
Upper bound I(1)
Lower bound I(0)
 
10%
3.52
2.45
 
5%
4.01
2.86
 
2.5%
4.49
3.25
 
1%
5.06
3.74

4.5. Long-run and Short-run Estimations: Real Estate Development, Human Capital and Economic Growth

The long-run consequences, when all factors are held constant, are presented in Table 5. In the long run, the coefficient of real estate was positive and statistically significant. When development in the real estate sector increases by 1%, it leads to a 1.35% increase in economic growth. This increase in economic growth is due to increased development in the real estate sector as a result of improved technology and increased investments. These investments create more job opportunities and increase the disposable income for both skilled and unskilled workers who utilize their income for the consumption of goods and services from various sectors, leading to a rise in economic growth. In addition, increased development in the real estate sector implies an increase in the output level of the sector to the GDP of the country. This finding is in line with the work of Kong et al. (2016) and Yi (2019) but is inconsistent with the results of Hong (2014).

Table 5. Long-run estimation results.
  RGDP
Coeff.
Std. err.
t
P>t
ADJ RGDP (L1)
-0.7871
0.1551
-5.08
0.000*
LR REO
1.3545
0.2967
4.57
0.000*
  GERT
0.1239
0.0923
1.34
0.188
  CBR
-0.2954
0.1083
-2.73
0.010**
  INF
-0.2556
0.1300
-1.97
0.057***
ARDL (1, 1, 0, 0, 0), Prob > F = 0.0000, Adj R-squared = 0.6018, Obs. = 43

Note:

The 1%, 5% and 10% significance levels are represented by *, ** and ***, respectively.

The results in Table 5 show that in the long run, the coefficient of the central bank rate is negative and statistically significant. When the central bank rate increases by 1%, economic growth reduces by 0.30%. This is due to the fact that a rise in the central bank rate makes it difficult for commercial banks to borrow money. Therefore, commercial banks have to raise the rate at which people borrow, which would reduce the amount of money in circulation for carrying out various economic activities which would propagate economic growth in the country in the long run. This result confirms the work of Chowdhury et al. (2019) and Agalega and Antwi (2013). The coefficient of inflation was negative and statistically significantly at the 10% level of significance. When inflation rises by 1%, economic growth reduces by 0.26%. This occurs because inflation lowers the consumers’ purchasing power and, subsequently, their real income. This leaves consumers with the choice to either consume less of the goods and services or opt for lower quality goods and services to maintain the same level of utility as before. In addition, inflation may lead to a reduction in demand, which, in turn, leads to low production and thus low economic growth. This finding confirms the work of Ngoc (2020); Ndoricimpa and John (2017); Jibrilla and Bawuro (2018) and Akinsola and Odhiambo (2017), while it contradicts the results of  Sumon and Miyan (2017); Abueid (2020)  and Agalega and Antwi (2013). The results in Table 6 indicate that the coefficient for real estate is positive and statistically significant in the short run. This implies that when development in real estate increases by 1%, it leads to a 2.65% increase in economic growth.

Table 6. Short-run estimation results.
  RGDP
Coeff.
Std. err.
t
P > t
SR REO (D1)
__CONS
2.6478
-0.7523
0.8555
1.4563
3.09
-0.52
0.004**
0.609
ARDL (1, 1, 0, 0, 0), Prob > F = 0.0000, Adj R-squared = 0.6018, Obs. = 43

Note:

** represents a 5% significance level.

To ensure that the coefficients of the estimated ARDL model are reliable in both the short run and the long run, various diagnostic tests, such as serial correlation, heteroskedasticity and normality, were carried out.

Table 7. Diagnostic test results.
Diagnostic analysis Test
P-value
P-value
Serial correlation Breusch–Godfrey LM
0.5938**
Accept Ho
Heteroskedasticity White's test
0.4544**
Accept Ho
Normality Jarque–Bera test
0.1298**
Accept Ho

Note:

5% significance level is represented by **.

The results in Table 7 show that the model passed all diagnostic tests due to the fact that all of the null hypotheses could not be rejected because all the p-values are greater than the threshold of the 5% significance level.

4.6. Stability Test

This study adopted the cumulative sum of recursive (CUSUM) stability test to ensure that the estimated coefficients are suitable and reliable for policy formulation. The results presented in Figure 1 show that the CUSUM lines for the coefficients lie within the 5% critical lines.

Figure 1. Stability test for real estate development, human capital, central bank rate, inflation and economic growth.

Over the sample period, the estimated coefficients were found to be stable. This means that the coefficients are suitable for further analysis and for policy decision making.

5. CONCLUSION AND RECOMMENDATIONS

This study assessed the effects of real estate development, human capital, the central bank rate and inflation on economic growth in Kenya. Using the ARDL model, the short-run results revealed that real estate development significantly positively impacts economic growth. Additionally, the long-run results showed that economic growth is significantly related to real estate development, the central bank rate and inflation. Particularly, real estate development influences economic growth positively, while the central bank rate and inflation (at the 10% significance level) influences economic growth negatively. Human capital (proxied by enrollment in tertiary education) had an insignificant positive impact on economic growth.

Based on these results, real estate development plays a key role in accelerating economic growth in Kenya. Therefore, the Kenyan government should formulate polices for the continued allocation of more resources to the real estate sector for its development. Additionally, policies should be formulated that focus on creating a suitable macroeconomic environment, such as reduction in the inflation rate and regulation of the central bank rate. All these will effectively attract both domestic and international investment in various sectors thus boosting economic growth in the country.

Funding: This study received no specific financial support.  

Competing Interests: The authors declare that they have no competing interests.

Authors’ Contributions: All authors contributed equally to the conception and design of the study.

REFERENCES

Abueid, R. (2020). Impact of macroeconomic variables on the economic growth in the middle east countries. Journal of Applied Economic Sciences, 15(69), 594-604.

Adaramola, A. O., & Dada, O. (2020). Impact of inflation on economic growth: Evidence from Nigeria. Investment Management and Financial Innovations, 17(2), 1-13. https://doi.org/10.21511/imfi.17(2).2020.01

Adawo, M. (2011). Has education (human capital) contributed to the economic growth of Nigeria? Journal of Economics and International Finance, 3(1), 46-58.

Agalega, E., & Antwi, S. (2013). The impact of macroeconomic variables on gross domestic product: Empirical evidence from Ghana. International Business Research, 6(5), 108-116. https://doi.org/10.5539/ibr.v6n5p108

Akinsola, F. A., & Odhiambo, N. M. (2017). Inflation and economic growth: A review of the international literature. Comparative Economic Research, 20(3), 41–56. https://doi.org/10.1515/cer-2017-0019

Alagidede, P., & Mensah, J. O. (2018). Construction institutions and economic growth in Sub-Saharan Africa. African Review of Economics and Finance, 10(1), 136-163.

Ali, M., Egbetokun, A., & Memon, M. (2018). Human capital , social capabilities and economic growth. Economies, 6(1), 1-18. https://doi.org/10.3390/economies6010002

Amir, H., Khan, M., & Bilal, K. (2015). Impact of educated labor force on economic growth of Pakistan: A human capital perspective. European Online Journal of Natural and Social Sciences, 4(4), 814-831.

Anaman, K. A., Amponsah, C. O., Anaman, K. A., & Osei-Amponsah, C. (2017). Analysis of the causality links between the growth of the construction industry and the growth of the macro ‐ economy in Ghana. Journal of Real Estate Development, 25(9), 951–961. https://doi.org/10.1080/01446190701411208

Ayomitunde, A. T., Akindele, D. B., & Abaka, J. M. (2019). Real estate development and economic growth cointegration, DOLS and Granger causality approach. Journal of Economics and Finance, 3(2), 84–88.

Bao, H., Shan, L., Wang, Y., Jiang, Y., Lee, C., & Cui, X. (2021). How does local real estate investment influence neighborhood PM2. 5 concentrations? A spatial econometric analysis. Land, 10(5), 518. https://doi.org/10.3390/land10050518

Bhorat, H., Cassim, A., & Tseng, D. (2016). Higher education, employment and economic growth: Exploring the interactions. Development Southern Africa, 33(3), 312-327. https://doi.org/10.1080/0376835x.2016.1161501

Bolkol, H. K. (2015). Causal relationship between construction production and GDP in Turkey. International Journal of Research in Business and Social Science (2147-4478), 4(3), 42-53. https://doi.org/10.20525/ijrbs.v4i3.21

Branch, T., Growth, E., Working, D., Force, L., Domestic, G., & Formation, C. (2014). Factors of economic growth in Palestine : An empirical analysis during thepperiod of (1994-2013). International Journal of Business and Economic Development, 2(2), 70–84.

Brunetti, A., Kisunko, G., & Weder, B. (1998). Credibility of rules and economic growth: Evidence from a worldwide survey of the private sector. The World Bank Economic Review, 12(3), 353-384. https://doi.org/10.1093/wber/12.3.353

Chen, J., & Zhu, A. (2008). The relationship between housing investment and economic growth in China FA panel analysis using quarterly provincial data. Retrieved from Uppsala University, Department of Economics No. 2008: 17.

Chirwa, T. G., & Odhiambo, N. M. (2019). The nexus between key macroeconomic determinants and economic growth in Zambia: A dynamic multivariate Granger causality linkage. Empirical Economics, 57(1), 301-327. https://doi.org/10.1007/s00181-018-1439-2

Chowdhury, A., Hamid, M. K., & Akhi, R. A. (2019). Impact of macroeconomic variables on economic growth: Bangladesh perspective. Information Management and Computer Science, 2(2), 19-22. https://doi.org/10.26480/imcs.02.2019.19.22

Chuku, C., Simpasa, A., & Oduor, J. (2019). Intelligent forecasting of economic growth for developing economies. International Economics, 159, 74-93. https://doi.org/10.1016/j.inteco.2019.06.001

Eggoh, J., Houeninvo, H., & Sossou, G.-A. (2015). Education, health and economic growth in African countries. Journal of Economic Development, 40(1), 93-111. https://doi.org/10.35866/caujed.2015.40.1.004

Elile, R. U., Akpan, S. S., & Raju, V. (2019). Real estate investment performance and macroeconomic dynamics in Nigeria: A sectorial analysis. World Journal of Research and Review, 8(2), 18-26.

Faisal, S. Q. F., & Abdul Waheed, W. (2011). Human capital and economic growth: Time series evidence from Pakistan. Retrieved from University Library of Munich, Germany. No. 30654.

Gesare. (2016). Effect of real estate investment on economic growth in Kisii County, Kenya. International Journal of Social Sciences and Information Technology, 2(3), 340–360.

Grant, C. (2017). The contribution of education to economic growth. Retrieved from K4D Helpdesk Report. Brighton, UK: Institute of Development Studies.

Gyimah-Brempong, K., Paddison, O., & Mitiku, W. (2006). Higher education and economic growth in Africa. The Journal of Development Studies, 42(3), 509-529.

Hakooma, M. (2017). The impact of human capital development on economic growth in Zambia: An econometric analysis. International Journal of Economics, Commerce and Management, 4(4), 71–87.

Hanif, N., & Arshed, N. (2016). Relationship between school education and economic growth: SAARC countries. International Journal of Economics and Financial Issues, 6(1), 294-300.

Hanişoğlu, G. S., & Azer, Ö. A. (2017). The impact of housing loans on economic growth in Turkey: Times series analysis for 2010-2015 period. Emerging Markets Journal, 7(1), 25-30. https://doi.org/10.5195/emaj.2017.127

Hanushek, E. A. (2016). Will more higher education improve economic growth? Oxford Review of Economic Policy, 32(4), 538-552. https://doi.org/10.1093/oxrep/grw025

Hanushek, E. A., & Kimko, D. D. (2000). Schooling, labor-force quality, and the growth of nations. American Economic Review, 90(5), 1184-1208.

Hong, L. (2014). The dynamic relationship between real estate investment and economic growth: Evidence from prefecture city panel data in China. IERI Procedia, 7, 2-7. https://doi.org/10.1016/j.ieri.2014.08.002

Jibrilla, A., & Bawuro, M. B. (2018). Inflation and economic growth nexus in Nigeria. International Journal of Innovative Research and Creation Technology, 2(3), 78-83.

Jorgenson, D. W., & Fraumeni, B. M. (1992). Investment in education and US economic growth Related papers. Scandinavian Journal of Economics, 94(Supp., 94), 51–70.

Kithiia, J., Wanyonyi, I., Maina, J., Jefwa, T., & Gamoyo, M. (2020). The socio-economic impacts of Covid-19 restrictions: Data from the coastal city of Mombasa, Kenya. Data in Brief, 33, 106317. https://doi.org/10.1016/j.dib.2020.106317

Kong, Y., Glascock, J. L., & Lu-Andrews, R. (2016). An investigation into real estate investment and economic growth in China: A dynamic panel data approach. Sustainability, 8(1), 66. https://doi.org/10.3390/su8010066

Kotásková, S. K., Procházka, P., Smutka, L., Maitah, M., Kuzmenko, E., Kopecká, M., & Hönig, V. (2018). The impact of education on economic growth: The case of India. Journal of the Mendelian University of Agriculture and Forestry in Brunnen, 66(1), 253-261.

Lütkepohl, H. (2006). Structural vector autoregressive analysis for cointegrated variables. Allgemeines Statistisches Archiv, 90(1), 75-88. https://doi.org/10.1007/s10182-006-0222-4

Mallick, H., Mahalik, M. K., & Sahoo, M. (2018). Is crude oil price detrimental to domestic private investment for an emerging economy? The role of public sector investment and financial sector development in an era of globalization. Energy Economics, 69, 307-324. https://doi.org/10.1016/j.eneco.2017.12.008

Mankiw, N. G., Romer, D., & Weil, D. N. (1992). A contribution to the empirics of economic growth. The Quarterly Journal of Economics, 107(2), 407-437.

Mburugu, K., Rintari, N., & Mutea, F. (2021). The relationship between leverage risk and performance of selected real estate investments in Meru county-Kenya. International Journal of Finance, 6(2), 36–42. https://doi.org/10.47941/ijf.659

Mihaela, S., Lazányi, K., Sopková, G., Dobeš, K., & Adam, P. B. (2017). Determinants of economic growth in V4 countries and Romania. Journal of Economic Growth, 9(1), 103–116.

Mose, N. G. (2021). Determinants of regional economic growth in Kenya. African Journal of Business Management, 15(1), 1–12. https://doi.org/10.5897/ajbm2020.9118

Mukui, G., Awiti, J., & Onjala, J. (2019). Effect of public spending on economic growth in Kenya. Journal of Economics, Management and Trade, 25(1), 1–11. https://doi.org/10.9734/jemt/2019/v25i130185

Musau, S., Muathe, S., & Mwangi, L. (2018). Financial inclusion, GDP and credit risk of commercial banks in Kenya. International Journal of Economics and Finance, 10(3), 181-195. https://doi.org/10.5539/ijef.v10n3p181

Mwangi, B. N., & Mwenda, S. N. (2021). The effect of international remittances on economic growth in Kenya. Microeconomics and Macroeconomics, 3(1), 15–24.

Mwangi, B. W. (2020). Affordable housing in Kenya. Journal of World Economic Research, 2(3), 161–164.

Naftaly, G. M. (2021). Determinants of regional economic growth in Kenya. African Journal of Business Management, 15(1), 1–12. https://doi.org/10.5897/ajbm2020.911815(1 )

Narayan, P. K. (2005). The saving and investment nexus for China: Evidence from cointegration tests. Applied Economics, 37(17), 1979-1990. https://doi.org/10.1080/00036840500278103

Ndoricimpa, A., & John, C. (2017). Threshold effects of inflation on economic growth in Africa: Evidence from a dynamic panel threshold regression approach. Retrieved from African Development Bank Group, Working Paper, No. 249.

Ngoc, B. H. (2020). The asymmetric effect of inflation on economic growth in Vietnam: Evidence by nonlinear ARDL approach. The Journal of Asian Finance, Economics and Business, 7(2), 143-149. https://doi.org/10.13106/jafeb.2020.vol7.no2.143

Nkechi, O. T. (2018). Housing finance market and economic growth of West Africa region: A study of Nigeria, Ghana and Gambia. The Business & Management Review, 9(3), 188–199.

Nowak, A., & Dahal, G. (2016). The contribution of education to economic growth: Evidence from Nepal. International Journal of Economic Sciences, 5(2), 22-41.

Nyoni, T., & Bonga, W. G. (2018). What determines economic growth in Nigeria? Dynamic Research Journals Journal of Business & Management, 1(1), 37–47.

Ogundari, K., & Awokuse, T. (2018). Human capital contribution to economic growth in Sub-Saharan Africa: Does health status matter more than education? Economic Analysis and Policy, 58, 131-140. https://doi.org/10.1016/j.eap.2018.02.001

Ojike, R. O., Ikpe, M., Uwajumogu, N. R., Yuni, D. N., Okwor, S. A., & Enyoghasim, M. O. (2021). Education, health spending, and sustainable development in Nigeria: Empirical analysis using an ARDL bounds test approach. African Journal of Business and Economic Research, 16(2), 29-50. https://doi.org/10.31920/1750-4562/2021/v16n2a2

Otieno, O. D. (2016). Role of educational investment on economic growth and development in Kenya. Journal of Education and Practice, 7(22), 68–81.

Pegkas, P. (2014). The link between educational levels and economic growth: A Neoclassical approach for the case of Greece. International Journal of Applied Economics, 11(2), 38-54.

Pesaran, M. H., Shin, Y., & Smith, R. J. (2001). Bounds testing approaches to the analysis of level relationships. Journal of Applied Econometrics, 16(3), 289-326. https://doi.org/10.1002/jae.616

Pierre, D. (1954). Theory of economic dynamics. An essay on cyclical and long run changes in capitalist economy. Economic Review, 5(5), 809–811.

Romer, P. (1990a). Capital, labor, and productivity. Brookings Papers on Economic Activity, 21(1990), 337-367.

Romer, P. M. (1990b). Endogenous technological change. Journal of Political Economy, 98(5), S71–S102.

Schultz, T. W. (1961). Investment in human capital: Reply. The American Economic Review, 51(5), 1035–1039.

Shahbaz, M., Ahmad, K., & Chaudhary, A. (2008). Economic growth and its determinants in Pakistan. The Pakistan Development Review, 47(4), 471-486. https://doi.org/10.30541/v47i4iipp.471-486

Squicciarini, M. P., Ashraf, Q., Becker, S., Berlinschi, R., Cantoni, D., Crafts, N., & Swinnen, J. (2014). Human capital and industrialization: Evidence from the age of enlightenment. The Quarterly Journal of Economics, 130(4), 1825–1883. https://doi.org/10.1093/qje/qjv025

Srithilat, K., Khamthoummabounmy, T., Lienpaserth, V., & Chanthavixay, P. D., V. (2022). The effect of monetary policy on economic growth in Lao PDR. International Journal of Economics and Financial Issues, 12(1), 67–74. https://doi.org/10.32479/ijefi.10557

Sumon, K. K., & Miyan, M. S. (2017). Inflation and economic growth: An empirical evidence of Bangladesh (1986-2016). International Journal of Economics and Financial Issues, 7(5), 454–464.

Wepukhulu, J. M., & Otieno, O. G. (2019). Effect of macroeconomic factors on economic growth in Kenya. International Journal of Economics, 4(1), 43-67.

Yakubu, Z., Loganathan, N., Mursitama, T. N., Mardani, A., Khan, S. A. R., & Hassan, A. A. G. (2020). Financial liberalisation, political stability, and economic determinants of real economic growth in Kenya. Energies, 13(13), 3426. https://doi.org/10.3390/en13133426

Yi, L. (2019). Empirical study on the relationship between real estate investment and economic growth in Hainan Province. Paper presented at the International Symposium on Social Science and Management Innovation (SSMI 2018). Atlantis Press.

Yusuf, W. A., Isik, A., & Salisu, N. I. (2019). Relative effects of exchange rate and interest rate on Nigeria’s economic growth. Journal of Applied Economics and Business, 7(2), 28-37.

Zivot, E., & Andrews, D. W. K. (2002). Further evidence on the great crash, the oil-price shock, and the unit-root hypothesis. Journal of Business & Economic Statistics, 20(1), 25-44. https://doi.org/10.1198/073500102753410372

Views and opinions expressed in this article are the views and opinions of the author(s). The Asian Economic and Financial Review shall not be responsible or answerable for any loss, damage or liability, etc., caused in relation to/arising from the use of the content.