Index

Does the development of digital economy alleviate environmental problems-empirical evidence from the Yangtze River Economic Belt

Chen Chao1,2+ --- Kang Ziyi1 --- Kim Dongjoo3

1,3Department of Social Economy and Business Administration, Woosuk University, Korea.
2Finance and Taxation College, Dongfang College, ShanDong University of Finance and Economics, China.

ABSTRACT

The digital economy has become a new driving force for economic development. This paper takes 11 provinces and cities in the Yangtze River Economic Belt as research objects, constructs comprehensive evaluation indicators of environmental problems and digital economy, uses panel data of 11 provinces and cities in the Yangtze River Economic Belt from 2011 to 2020, and applies various econometric models to empirically test the impact of digital economy development on environmental problems in multiple dimensions. It was found that the development of the digital economy in the Yangtze River Economic Belt significantly mitigates environmental problems, a conclusion that still holds after the robustness analysis. The mediation analysis indicates that the development of the digital economy mitigates environmental problems through industrial structural upgrading and green technology innovation. The heterogeneity analysis shows that the digital economy development in the downstream areas of the Yangtze River Economic Belt has the largest environmental improvement effect and the smallest in the midstream areas. Spatial spillover analysis shows that digital economy development in the Yangtze River Economic Belt has significantly reduced environmental problems in surrounding areas through spatial spillover effects. The findings of the study provide empirical evidence that the development of the digital economy can mitigate environmental problems, and also serve as a policy reference for developing the digital economy and bringing the environmental improvement role of the digital economy into play.

Keywords:Digital economy, Entropy value method, Environmental problems, Mediating effect, Spatial spillover effect, Yangtze river economic belt.

ARTICLE HISTORY: Received:20 April 2023, Revised:3 July 2023, Accepted:25 July 2023, Published:11 August 2023

JEL Classification:C51; O13; O30.

Contribution/Originality: This paper is the first to explore whether the development of the digital economy in the Yangtze River Economic Zone mitigates environmental problems using spatial econometric models, further expanding the field of digital economy research.

1. INTRODUCTION

The Yangtze River Economic Belt is the largest river economic zone in China and the world, spanning three regions in eastern and western China and connecting 11 Chinese provinces and cities by the Yangtze River Golden Waterway. The regional GDP1 of the Yangtze River Economic Belt reached 53.02 trillion yuan in 2021, up 8.7 percent year-on-year, making it the fastest-growing region in China. Its economy has taken up half of China. The Yangtze River Economic Belt is an industrial agglomeration and a staging area for China's top-end innovation elements, and has taken a central place in the planning of China's future innovation-driven development and industrial chain to the middle and high end. It is also an essential guarantee to achieve the goal of high-quality economic development outlined in the 19th CPC2 National Congress. The Yangtze River Economic Belt has great potential for future development and holds a major strategic position in realizing China's vision of 2035. But while the Yangtze River Economic Belt is developing rapidly, it is also facing environmental problems such as soil erosion, carbon emissions and water pollution. How to guard the green hills while developing and growing the golden hills of the Yangtze River Economic Belt is a major issue facing the theoretical community today.

As a modern economic form, the digital economy is reshaping China's competitive edge, enabling the country to transform its past development model driven by demographic dividends, investment and foreign demand, and accelerate the transformation of old and new dynamics. According to the White Paper on China Communications Academy (2021), China's digital economy will reach 39.2 trillion yuan in 2020, accounting for 38.6% of GDP and growing by 9.6% year-on-year, more than three times the economic growth rate of the same period. The digital economy relies on digital platforms and applies current technologies such as the Internet, big data, artificial intelligence and blockchain to achieve an efficient allocation of data flow, technology flow, talent flow and capital flow across space and time, to drive China to achieve power change, efficiency change and quality change with an innovation-driven development model, and then alter the problems of high input, high energy consumption, elevated pollution and low efficiency faced by China's economic development. The digital economy will become a strong driving force for China's economic recovery and sustainable development in the post-epidemic period and will also solve the contradiction between the "gold and silver mountains" and the "clear waters and green mountains" in the development process.

In 2016, the "G20 Initiative on Digital Economy Development and Cooperation" was released at the G20 Hangzhou Summit, giving an authoritative definition of the digital economy, defining it as a series of economic activities that use digital knowledge and information as key factors of production, modern information networks as essential carriers, and the effective use of information and communication technologies as an essential driving force for efficiency improvement and economic structure optimization. It is a series of economic activities in which the effective use of ICT3 is an essential driving force for efficiency improvement and economic structure optimization. The process of developing the digital economy will generate huge amounts of data, and the combination of data as new factors of production and traditional factors of production can improve the production efficiency of the factors and realize an increase in the total factor productivity. The digital economy itself is extremely innovative and permeable, and it integrates with the real economy to form new industries, new business models and different modes, promoting the optimization and upgrading of industrial structures. Digital technology is the core driver for the sustainable development of the digital economy. Digital technology is widely used in the production process of enterprises, which can effectively reduce the amount of natural resources consumed in the production process and reduce the emission of pollutants, thus achieving the grand goal of building a wonderful China.

"The 14th Five-Year Plan" puts forward the goal of accelerating digital development and building a digital China. Accelerating the development of the digital economy has been widely recognized by all sectors of society, and the digital economy will help China achieve sustainable development that harmonizes the economy with the natural environment. With this in mind, it is useful to ask the following questions: Does the development of the digital economy alleviate environmental problems? If so, what are the pathways and mechanisms by which the digital economy will affect environmental issues? Are there heterogeneous characteristics of the digital economy that affect environmental issues? Systematic answers to the above questions are of great practical importance for building a digital people and achieving carbon neutrality. First, based on a literature review and theoretical analysis, this paper summarizes and analyzes the direct and indirect pathways through which the digital economy affects environmental issues. Secondly, this paper takes 11 provinces and cities in the Yangtze River Economic Belt as research objects, and uses a panel model to empirically analyze whether the development of digital economy alleviates environmental problems and whether there is heterogeneity in the characteristics of the impact of digital economy on environmental problems based on provincial panel data from 2011 to 2020. Again, this paper uses a stepwise regression method to systematically explore the path mechanism of developing digital economies affecting environmental issues. Finally, given that the digital economy uses digital technology to achieve an efficient allocation of factors across space and time, and that along with the development of regional economic integration, inter-regional economies are extremely interconnected and environmental problems also show significant spatial effects, this paper adopts a spatial econometric model to systematically analyze the spatial effects of the digital economy on environmental problems.

2. LITERATURE REVIEW

Regarding the study of the digital economy, different scholars have conducted related studies from the following perspectives, and the existing literature covers the of nature, connotation, characteristics, role and index system construction of the digital economy. According to Zhang (2019), the essence of the digital economy is the evolution of a modern way of production organization shaped by the high coordination and interaction of human economic activities based on technology for resource allocation optimization. Tapsott (2016), who is known as the "father of the digital economy," believes that the digital economy is an interactive multi-media, information superhighway, and the Internet-driven network of human intelligence. Tapscott, the “father of the digital economy”, believes that the digital economy is a different type of economy based on the networking of human intelligence promoted by interactive multimedia, the information superhighway and the Internet. According to Ren and Li (2022), the digital economy itself is characterized by accessibility, high innovation, strong penetration and rich coverage. According to Chen, Chen, and Tan (2022), the digital economy can promote high-quality economic development by enhancing the level of innovation and promoting the upgrading of industrial structures. Liu, Yang, and Zhang (2020) , based on the identification of the meaning of the digital economy a comprehensive system of evaluation indicators for the digital economy has been constructed from the three dimensions of information development, Internet development and digital transaction development.

Regarding the study of environmental problems, existing studies focus on the causes of environmental problems and how to manage them. Alfred (1965), who developed the theory of externalities in his Principles of Economics published in 1890, considered environmental problems as negative externalities, market failures caused by the activities of economic agents that harm others or society, without the agents causing the negative externalities paying for them. The basic idea of how to solve an environmental problem with a negative externality is to internalize the externality. In his "Welfare Economics" published in 1920, Arthur (2006),  proposed that the social benefits or social costs arising from the economic activities of economic agents are transferred to private benefits or private costs through institutional arrangements, resulting in Pigouvian Tax. Ronald (2009), on the other hand, argues in "The Social Cost Problem" that well-defined property rights can solve the externality, arguing that when property rights are divided, transaction costs are low and there are fewer participants, people can solve the externality problem through private negotiations. Yu and Qi (2007), systematically explored the relationship between economic factors and environmental pollution based on panel data from Chinese provinces and cities from 1990 to 2003. They found that the expansion of the size of the economy worsened the Chinese environment, while technological progress and economic structural upgrading improved it; And the net environmental effect of free trade is positive. Liu and Song (2013), on the other hand, used the STIRPAT 3 model to explore the impact of urban industrial agglomeration on the urban environment based on panel data from 286 Chinese cities from 2005 to 2010, and they found that industrial agglomeration can effectively mitigate urban environmental problems.

Regarding the impact of the digital economy on environmental issues, the existing literature focuses on carbon emissions, focusing on the impact of the digital economy on carbon emissions and the mechanisms of action. Xu, Zhou, and Liu (2022), argue that the digital economy can significantly reduce carbon emissions through infrastructure effect, structural optimization effect, technological innovation effect and resource allocation effect. She, Wu, and Zheng (2017), argue that the development of digital economy can upgrade industrial structure, promote industrial technology progress to improve energy efficiency and achieve energy saving and emssion reduction, and significantly improve carbon emissions by improving the monitoring level of environmental departments and public participation in environmental protection. Guo, Yang, and Ren (2022), empirically checked that the development of the digital economy can significantly reduce carbon emissions through green technology innovation based on urban panel data, with green technology innovation as a mediating variable. Zhang and Liu (2015), argued that enterprises apply digital technology to achieve intelligent transformation and change energy consumption patterns to achieve lower energy consumption, thus effectively reducing carbon emissions. Xie (2022), used provincial panel data to empirically examine the impact and mechanism of digital economy on regional carbon. Using provincial panel data, Xie empirically investigated the impact and mechanism of the digital economy on regional carbon emissions, and found that the development of digital economy can significantly reduce regional carbon emission intensity through the improvement of energy structure.

In summary, academics have conducted extensive research on how the digital economy affects environmental issues, but the focus of the research has been on carbon emissions in environmental issues, which do not only include carbon emissions. A comprehensive environmental assessment index system should be established to analyze the impact of the digital economy on environmental issues to remedy the shortcomings of the aforementioned studies. In addition, there are fewer studies on the impact of regional development of the digital economy on environmental issues. Therefore, a systematic analysis of the impact of the development of the digital economy on environmental issues in the Yangtze River Economic Zone, which is the subject of this study, can further enrich the corresponding research. The Yangtze River Economic Belt is a high-density economic corridor connecting various metropolitan areas along the Yangtze River, thus promoting regional economic integration and thus having a significant economic spatial impact. By dividing the Yangtze River economic zone into three regions based on the upper, middle and lower reaches of the Yangtze River, and testing the differences in the impact of digital economy development on environmental issues in different regions through heterogeneity analysis, we can make the research findings more reliable, and then propose policy recommendations for the development of digital economy in a targeted manner.

3. THEORETICAL ANALYSIS AND RESEARCH HYPOTHESIS

3.1. Digital Economy and Environmental Problems

Data, a basic element of the digital economy, was first established as a factor of production at the Fourth Plenary Session of the 19th CPC Central Committee. Data can be transformed into knowledge and information data through data storage, data mining and data analysis, and data dividends will be released to fuel high-quality economic development. As a current factor of production, data can be added to the production process of a product to alter the allocation of factors and reduce the demand for resource factors in the production of a product, thus helping to alleviate environmental problems. In addition, data can empower traditional factors of production, modify the phenomenon of diminishing marginal returns of traditional factors of production, and improve the efficiency of traditional factors of production, thus producing more material wealth with fewer resources and less harm to the environment. Digital technology is widely used in the digital transformation of industries and is the core force driving the development of the digital economy. While improving the digital level of industries, it can optimize the operational efficiency of the industries and thus effectively reduce the consumption of resources during industrial development. In addition, digital technology can also refine fragmented information for the purpose of integrating information. Using digital technology, enterprises can reduce search costs and easily access industry information, and the of products will be reduced, and then the environment will be improved by improving the allocation efficiency of resource factors for efficient operation of the economy. In light of this, the following research hypothesis is proposed.

Hypothesis 1: Digital economy development contributes to the mitigation of environmental problems.

3.2. Digital Economy, Intermediary Mechanisms, and Environmental Issues

The digital economy is characterized by strong penetration, and the integration of the digital economy with the real economy will lead to the formation of modern industries, different business models and different modes, as well as the transformation and upgrading of traditional industries. During the rapid economic development, a number of traditional industries with strong inputs, high energy consumption and low efficiency were gradually formed. The integration of the digital economy into traditional industries can transform the mode of development of traditional industries, achieve intelligent and digital transformation of traditional industries, and promote structural upgrading of traditional industries while achieving the development goal of low carbon. In addition, the digital economy includes two parts: digital industrialization and industrial digitization, with industrial digitization being the main battleground for the development of the digital economy. Industrial digitization can help enterprises climb the industrial chain, enable them to successfully escape the dilemma of low-end lock-in, improve their operational efficiency, and facilitate their transformation to a low-input, low-energy and high-efficiency direction. Moreover, the digital economy has the property of spreading easily. The information and communication industry is the pioneer industry for the development of the digital economy, and the high-speed development of the information and communication industry can promote the dissemination of knowledge and technology, while the construction of the digital platform further accelerates the arrival of the sharing era, relying on the digital platform to promote the transformation and upgrading of the industrial structure through industrial association, technology diffusion and knowledge sharing, and the transformation and upgrading of the industrial structure. The transformation and upgrading of industrial structures can effectively reduce environmental problems. In this paper, we propose the following research hypothesis.

ypothesis 2: Digital economy development alleviates environmental problems by promoting industrial structural upgrading.

Digital platforms are the vehicle of the digital economy. The digital platform enables producers to fully participate in the market competition, which intensifies the superiority and inferiority of products and subsequently improves their quality and performance, while technological innovation plays an essential role in the whole process. Digital technology is an influential driving force for the development of the digital economy and is widely used in the Internet, cloud computing and big data, making knowledge diffusion and technology spillover more common, making it easy for enterprises to innovate technology, which in turn improves the efficiency of the use of production factors and reduces pollutant emissions. In addition, as a country enters the ranks of top-income countries, environmental problems gradually become the focus of the entire society, increasing the demand for green products, and the higher requirements of consumers for product performance in the information age will force manufacturers to accelerate the innovation of green technology to meet consumers and thus reduce the harm to the environment. In addition, the widespread use of digital technology will lead to a shift from low-end to high-end labor, speeding up the technological iteration and innovation of enterprises, which in turn will enable them to achieve energy saving and emission reduction goals. Digital technology can also reduce the information asymmetry between supply and demand, address the problem of inefficient resource allocation, facilitate the flow of resources to innovative enterprises, and motivate enterprises to innovate green technologies, thus effectively reducing the level of environmental pollution. Based on this, this paper proposes the following research hypothesis.

Hypothesis 3: Digital economy development mitigates environmental problems through green technology innovation.

3.3. Digital Economy, Spatial Spillover Effects and Environmental Issues

The development of the digital economy can strengthen the economic interaction between different regions, achieve efficient allocation of production factors across space and time, and improve the efficiency of economic operation in the whole region, thus reducing the emission of pollutants. As a green production factor, data is easy to circulate and replicate, and is not limited by space and geography. By relying on the digital platform to realize the open sharing of data between different regions and transforming it into knowledge and information data after data storage, data mining and data analysis, the data dividend across regions will be released, which will significantly improve green total factor productivity and regional ecosystems. In addition, environmental problems are cross-regional in nature, such as water and air pollution, and require the establishment of cross-regional joint prevention and control mechanisms to effectively reduce the harm of environmental problems, while the emergence of digital information technology is conducive to environmental monitoring in the environmental sector and improve public participation in environmental protection, on the other hand, it helps interoperability of environmental monitoring data across regions, thereby realizing the pollution prevention and control. Therefore, additional spatial econometric models are needed to systematically analyze the spatial spillover effects of the development of the digital economy on environmental issues. Based on this, this paper proposes the following research hypothesis.

Hypothesis 4: Digital economy development alleviates environmental problems in surrounding areas through spatial spillover effects.

4. RESEARCH DESIGN

4.1. Model Setup

Based on the above theoretical analysis, to test whether the development of the digital economy alleviates environmental problems, the following panel regression model is constructed in this paper.

Y is used as the explanatory variable to represent the environmental problem, Dig is used as the main explanatory variable to represent the level of development of the digital economy, and X is used as a series of control variables. In addition, to control for the existence of unpredictable factors among different provinces that do not vary over time, province fixed effects μi are added to the model, and to control for unpredictable factors such as macroeconomic fluctuations, time fixed effects λt are added, and εit represents the random error term. The subscript i denotes the province, while the subscript t denotes the time.

In this paper, we construct a mediation effect model to examine the mechanism of the impact of digital economy development on environmental issues.

Where M represents the mediating variables, which are industrial structure upgrading (Is) and green technology innovation (GTi), respectively. In Equation 1, a1 represents the total effect of digital economy development on environmental problems,γ1 represents the direct effect of digital economy development on environmental problems, and β1 × γ2 represents the indirect effect of digital economy development on environmental problems, i.e., digital economy development indirectly affects environmental problems by influencing industrial structure upgrading and green technology innovation. The remaining variables are the same as in Equation 1. In addition, to test the spatial impact of digital economy development on environmental issues, spatial econometric models have been constructed.​

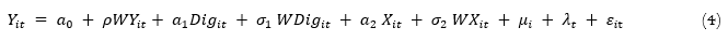
Where ρ represents the spatial autocorrelation coefficient, W represents the spatial weight matrix, and this paper uses the geographic distance weight matrix as well as the economic-geographic nested weight matrix to systematically analyze the spatial effects of the impact of digital economic development on environmental problems. σ is the spatial interaction coefficient of the main explanatory and control variables, and the general common spatial econometric models are the spatial autoregressive model (SAR), the spatial error model (SEM), and the spatial Durbin model (SDM). The remaining variables are the same as in Equation 1.

4.2. Variable Description

Explanatory variable: environmental problems (Y), drawing on Xu et al. (2022), three indicators, industrial wastewater emissions, industrial sulfur dioxide emissions and industrial smoke (dust) emissions, were selected and standardized to calculate a comprehensive evaluation index indicating environmental problems using the entropy value method. The larger the value of this indicator, the more serious the environmental problem becomes.

Core explanatory variables: digital economy (Dig). Borrowing from Zhao, Zhang, and Liang (2020) and Liu and Kong (2021), and based on the availability of data, this paper uses five indicators as sub-dimensions, namely, the proportion of Internet users, the proportion of cell phone users, the proportion of computer and software employees, the total amount of telecommunication business per capita, and the digital inclusive finance index, to construct a comprehensive digital economy index, and standardizes them and uses the entropy value method to calculate the comprehensive digital economy index.

Mediating variable: industrial structure upgrading (Is). Drawings by Gan, Zheng, and Yu (2011) and Zhang, Dong, and Luan (2021), The industrial structure upgrading includes industrial structure advanced and industrial structure rationalization. TS for index of industrial structure advanced, and the formula: TS = r1 ×1+ r2 ×2+ r3 ×3 measures: industrial structure advanced, where r1, r2 and r3 are the proportion of the value-added of primary industry, value added of secondary industry and value-added of the tertiary industry, to the gross domestic product (GRDP) of the region, respectively. In this paper, the inverse of the Theil index is used to measure the rationalization of industrial structure, and the Theil index is calculated as follows.

TL stands for Theil index, Y stands for regional output value, Yi stands for value-added of regional industry sector i, L stands for regional employment,  Li stands for employment of regional industry sector i. The smaller the value of the Theil index, the more reasonable the industrial structure, while taking the inverse of it means the larger the value, the more reasonable the industrial structure.

Green technology innovation (GTi) : Liu and Wang (2022) and Li and Zhou (2021) used the number of green patent applications per 10,000 people to measure regional green technology innovation.

Control variables: To reduce bias from omitted variables, the following control variables that may affect the environmental problem are used,  taken from Liang, Xiao, and Li (2021); Guo et al. (2022) and Zhang, Fu, and Liu (2022), Foreign investment level (Fil), which is measured in this paper by using the amount of real foreign direct investment as a share of regional gross domestic product (GRDP). The level of financial development (Fin), is measured using the balance of loans from financial institutions as a share of regional gross domestic product (GRDP). Government intervention (Gov), is measured using public finance spending as a share of regional gross domestic product (GRDP). Human capital (Hum), is measured using the number of students enrolled in general higher education as a share of the total population at the end of the year.

4.3. Data Sources

In this paper, panel data for 11 provinces and cities in the Yangtze River Economic Belt from 2011 to 2020 are selected. There are missing values in the data for some provinces and cities, which were filled in using interpolation methods and Stata16. Data on major pollutant emissions and socio-economic data of provinces and cities are obtained from the China Statistical Yearbook, provincial and municipal statistical yearbooks and statistical bulletins, the Digital Inclusive Finance Index of Peking University published externally by the Digital Finance Research Center of Peking University, the Smart Bud Global Patent Database and Mark Data Network. Details of the descriptive statistics of the variables are given in Table 1.

Table 1. Descriptive statistics of the variables.
Category Variable name
Sample size
Mean value
Standard deviation
Maximum value
Minimum value
Explained variables Environmental problems
110
0.489
0.342
0.969
0.001
Core explanatory variables Digital economy
110
0.372
0.177
0.855
0.077
  Mediating variables Advanced industrial structure
110
2.401
0.108
2.729
2.225
Rationalization of industrial structure
110
13.810
18.128
122.555
1.637
Technology innovation
110
1.380
1.303
6.262
0.085
  Control variables Foreign investment
level
110
0.022
0.012
0.045
0.002
Level of financial development
110
1.330
0.356
2.220
0.712
Government
intervention
110
0.222
0.067
0.409
0.121
Human capital
110
0.020
0.004
0.031
0.010

5. EMPIRICAL RESULTS AND ANALYSIS

5.1. Baseline Regression Analysis

The regression model (1) and the analysis software, Stata16 can be used to test whether the development of digital economy can mitigate the environmental problems, and the results of the regression analysis are presented in Table 2. Table 2 presents how the inclusion or absence of control variables affects the results under different regression approaches.

Table 2. Baseline regression results.
Variables
OLS
OLS
RE
RE
FGLS
FGLS
Dig
-1.556***
(0.086)
-1.947***
(0.131)
-1.556***
(0.128)
-1.945***
(0.139)
-1.414***
(0.071)
-1.564***
(0.112)
Fil
0.924
(1.662)
0.923
(1.433)
1.407***
(0.475)
Fin
0.271***
(0.059)
0.270***
(0.029)
0.175***
(0.025)
Gov
-0.978***
(0.334)
-0.978***
(0.236)
-0.804***
(0.136)
Hum
-0.767
(6.045)
-0.831
(4.866)
-3.705**
(1.691)
Constant term
1.067***
(0.038)
1.064***
(0.169)
1.067***
(0.047)
1.067***
(0.127)
1.015***
(0.032)
1.073***
(0.052)
N
110
110
110
110
110
110
R2
0.649
0.725
0.649
0.725
 

Note:

Standard errors of the coefficients are in (); ***, ** denote 1% and 5% significance levels, respectively. The same for the following tables

First, using the mixed-effects Ordinary Least Squares model (OLS), it was shown that the digital economy passes the significance test, which implies that the development of the digital economy in the Yangtze River Economic Zone can alleviate environmental problems, which validates Assumption 1. Second, the Hausman test is used and the result should be chosen as a random effects model (RE), and the results also show that the digital economy passes the significance test. Furthermore, in order to effectively address the issues of possible heterogeneous heterogeneity, contemporaneous correlation and intra-group autocorrelation in the model, the full FGLS estimation method is used, and the results still show that the development of digital economy can significantly mitigate environmental problems.

In terms of control variables, the level of foreign investment may not have a mitigating effect on environmental problems, but only passes the significance test when the full FGLS estimation method is used, suggesting that the "pollution paradise hypothesis" of the foreign direct investment may exist in the Yangtze River Economic Belt. The level of financial development passes the significance test, indicating that the level of financial development in the Yangtze River Economic Belt also does not have a mitigating effect on environmental problems, referring to Ren and Zhu (2017) and Hu and Li (2019), there is a scale effect of financial development on environmental pollution, and financial development contributes to the expansion of industrial production scale, which leads to the increase of resource factor consumption and aggravates environmental pollution.

Government intervention has significantly eased environmental problems. Referring to the studies of Yu and Yang (2016) and Liu and Zhang (2020), Chinese fiscal decentralization has led local governments to pursue economic growth rate unilaterally and resulted in a more serious production expenditure bias in the local fiscal expenditure structure, which does not pay attention to the protection and management of the environment, thus leading to serious environmental problems; In recent years, as central and local governments have strengthened ecological and environmental protection, they have adjusted the structure of government spending, which has also led to the transformation and upgrading of industrial structures, thus improving the quality of the environment. Human capital may play a role in mitigating environmental problems, but only if the full feasible generalized least squares (FGLS) estimation method is used, passing the significance test Human capital contributes to the spillover of knowledge and technology, accelerating the advancement of green technology innovation and thus mitigating environmental problems.​

5.2. Robustness Analysis

This paper takes three indicators of industrial wastewater emissions, industrial sulfur dioxide emissions and industrial smoke (dust) emissions and uses the entropy value method to calculate the comprehensive indicators of environmental problems for regression analysis. In order to increase the robustness of the above analysis, the paper adopts the method of replacing the explanatory variables, and adopts the single indicators of industrial sulfur dioxide emissions, industrial wastewater emissions and industrial smoke and dust emissions to measure the environmental problems, and logarithmize the corresponding absolute indicators as a way to perform robustness analysis. In addition, after 2015, the development of the digital economy was significantly accelerated under the promotion of the national big data strategy, so this paper further adopts the data from 2015 to 2020 for empirical analysis. In addition, this paper also adopts the instrumental variable method to alleviate the endogeneity problem in order to solve the problem of model estimation bias. Referring to the study of Deng and Zhang (2022), this paper constructs the product of the first-order lag term of the digital economy and the first-order difference term of the national digital economy (Digi,t-1*ΔDigt,t-1) as the instrumental variable and adopts the two-stage least squares (2SLS) method for analysis. The logic of constructing the instrumental variables in this paper is as follows: first, the national digital economy is the average value of the digital economy of 31 provinces and cities in China, and its trend will not be significantly influenced by individual provinces and cities, and the differential term can be regarded as exogenous for individual provinces and cities; second, the environmental problems will be affected by unobserved factors, and the instrumental variables are valid as long as the factor fails to affect the national digital economy. The detailed analysis results are shown in Table 3.

Table 3. Results of robustness analysis.
Variables
Substitution of explanatory variables
Variables
Change of sample period
2SLS
phase I
2SLS
phase II
Sulfur dioxide
Waste water
Smoke and dust
InDig
-0.575**
(0.207)
-0.282***
(0.079)
-0.133
(0.139)
Dig
-1.710***
(0.159)
-2.007***
(0.200)
Digi,t-1*ΔDigi,t-1
 
7.146***
(0.534)
Control variables
Yes
Yes
Yes
Control variables
Yes
Yes
Yes
Constant term
5.040*
(2.392)
11.580***
(0.944)
4.519**
(1.450)
Constant term
0.745***
(0.166)
-0.021
(0.057)
1.072***
(0.182)
N
110
110
110
N
66
99
99
R2
0.229
0.122
0.460
R2
0.499
0.880
0.695
Kleibergen
Paap rk LM
39.336
[0.000]
Cragg
Donald Wald F
245.821
{16.38}

Note:

p-values in, and critical values  in {} for the Stock and Yogo weak identification test at the 10% level. ***, ** , * denote 1%, 5%, and 10% significance levels, respectively.

The robustness analysis in Table 3 shows that after replacing the explanatory variables, the regression coefficients of the digital economy are significantly negative, except for industrial smoke (dust), which is consistent with the results of the benchmark regression. Moreover, the regression coefficient for the digital economy remains significantly negative after the sample period changes, which is also consistent with the baseline regression results. Finally, instrumental variables are constructed to alleviate the endogeneity issue of the model. The instrumental variables pass the unidentifiable test (KleibergenPaap rk LM) and the weak instrumental variable test (Cragg-Donald Wald F) in turn, indicating that the constructed instrumental variables are valid and the regression coefficient of the digital economy is also significantly negative. It is sufficient to show that the regression results in this paper are robust.

5.3. Mechanism of Action Analysis

The above analysis has shown that the development of the digital economy can alleviate environmental problems, but the mechanism of its effect still needs to be analyzed to verify the truth of Assumptions 2 and 3. In the following, the mechanism of the digital economy is tested and analyzed by regression models (2) and (3) and by using the stepwise regression method. According to the principle of intermediary effect analysis proposed by Wen and Ye (2014), if the coefficients β1 and γ2 are significant in the model, it indicates the existence of intermediary effect, and if at least one of them is not significant, the product of the coefficients β1 and γ2 needs to be tested by  Bootstrap method, and passing the test indicates the existence of intermediary effect. Details of the results of the analysis of the mediation effect are presented in Table 4.

The regression results through Table 4 show that the development of the digital economy in the Yangtze River Economic Belt will only promote the optimization and upgrading of the industrial structure by promoting advanced industrial structures, which in turn alleviates environmental problems and validates Assumption 2. In addition, we also found that the development of the digital economy can promote green technological innovation and thus significantly improve the environment, which validates Assumption 3 as well.

5.4. Analysis of Spatial Spillover Effects

Before starting a spatial econometric analysis, it is necessary to first perform a spatial autocorrelation test on the variables of interest to verify the existence of spatial correlations, and in this paper, the spatial autocorrelation test is performed only for environmental problems and digital economies. The spatial autocorrelation of the variables of interest under the geographic distance weight matrix is verified using the Moran's I index method. The details of the Moran I index for the variables of interest are shown in Table 5, which shows that the environmental issues in the Yangtze River Economic Belt from 2011 to 2020 show some spatial correlation, and the digital economy also shows significant spatial correlation, exhibiting spatial clustering.

Table 4. Mechanism of action test results.
Variables
Advanced industrial structure and environmental problems
Rational industrial structure and environmental problems
Green technology innovation  and
environmental problems
TS
Y
TL
Y
GTi
Y
Dig
0.272***
(0.038)
-0.829***
(0.145)
25.028
(15.571)
-1.756***
(0.141)
3.524***
(0.692)
-1.422***
(0.168)
TS
 
-3.375***
(0.423)
 
 
 
 
TL
 
 
 
0.0003
(0.0006)
 
 
GTi
 
 
 
 
 
-0.093**
(0.037)
Control variables
Yes
Yes
Yes
Yes
Yes
Yes
Constant term
2.276***
(0.031)
8.803***
(0.965)
6.376
(5.237)
1.118***
(0.131)
0.415
(0.421)
1.158***
(0.151)
N
110
110
110
110
110
110
R2
0.516
0.356
0.176
0.661
0.342
0.546

Note:

***, ** denote 1% and 5%, significance levels, respectively.


Table 5. Moran' I index of environmental problems and digital economy.
Year
Environmental problems
Digital economy
Year
Environmental problems
Digital economy
2011
0.190*
(1.384)
0.177***
(3.129)
2016
0.177
(0.872)
0.168***
(3.208)
2012
0.214*
(1.341)
0.192***
(3.316)
2017
0.145
(0.497)
0.162***
(3.151)
2013
0.239*
(1.598)
0.170***
(3.194)
2018
0.227*
(1.413)
0.162***
(3.075)
2014
0.113
(0.136)
0.178***
(3.309)
2019
0.232*
(1.512)
0.163***
(3.015)
2015
0.171
(0.762)
0.165***
(3.113)
2020
0.114***
(2.592)
0.143***
(2.898)

 Note:

z-statistic values are in (). ***, * denote 1% and 10% significance levels, respectively.

Next, the Hausman test, the fixed effects test LR-test, and the spatial model simplification tests Wald-test and LR-test are performed sequentially according to Elhorst (2014) test method, and finally, the spatial durbinometric model (SDM) with a two-way fixed effects model was selected. Table 6 then shows the effect decomposition of the  spatial durbinometric model under the geographic distance weight matrix and the economic-geographic nested weight matrix. The effect decomposition of the spatial Durbin model shown in Table 6 shows that the development of the local digital economy in the Yangtze River Economic Belt not only significantly alleviates the local environmental problems, but also significantly alleviates the environmental problems in the surrounding areas, i.e., the development of the digital economy can affect the environmental problems through spatial spillover effects, and Hypothesis 4 holds.

5.5. Heterogeneity Analysis

Since the economic development stages and the level of digital economic development are highly different in different regions of the Yangtze River Economic Belt, there may be significant differences in the impact of digital economy on environmental problems, and it is necessary to explore the impact of digital economy development on environmental problems in-depth and analyze the heterogeneity of the impact of developing digital economy on environmental problems in different regions.

Table 6. Spatial Durbin model effect decomposition.
Variables
Direct effect
Indirect effects
Total effect
Geographical distance
Nested matrix
Geographical distance
Nested matrix
Geographical distance
Nested matrix
Digital economy development
-2.016***
(0.681)
-2.313*** (0.728)
-0.708***
(0.226)
-0.492***
(0.182)
-2.724***
(1.040)
-2.805***
(0.987)
Control variables
Yes
Yes
Yes
Yes
Yes
Yes
N
110
110
110
110
110
110
R2
0.702
0.703
0.702
0.703
0.702
0.703

Note: ***, 10% significance levels. respectively

Referring to the relevant literature, the Yangtze River Economic Belt is broadly divided into upper, middle and lower reaches, while Table 7 demonstrates the results of the analysis of regional heterogeneity. The results of the analysis in Table 7 show that digital economic development has a significant environmental improvement effect in all regions of the Yangtze River Economic Belt, but the effect is greater in the downstream region than in all other regions, and the effect is the least in the midstream region. Most of the provinces in the downstream region belong to the eastern part of China. The eastern region, which developed its digital economy earlier than other regions and has a well-developed digital infrastructure and high-end scientific and technological talent, has released more digital economic dividends than other regions and thus has the most visible effect on improving the environment. The upstream region belongs to China's western region. In recent years, with the favorable promotion of relevant national policies and the construction of a big national data center, the development of digital economy in the upstream region has been significantly accelerated, which has promoted the digitalization process of local industries and significantly improved the efficiency of industrial operation, thus significantly improving the local environment. The midstream region belongs to China's central region, where digital infrastructure construction is relatively backward, the integration of the digital economy with traditional industries is relatively low, and industrial operation efficiency is not so clearly improved, leading to relatively low environmental improvement.

Table 7. Heterogeneity analysis results.
Variables
Upstream region
Midstream region
Downstream region
Digital economy development
-1.684***
(0.374)
-1.253**
(0.534)
-1.727***
(0.399)
Control variables
Yes
Yes
Yes
Constant term
0.436
(0.492)
0.186
(0.356)
1.150*
(0.609)
N
40
30
40
R2
0.676
0.844
0.771

Note:  

***, ** and * denote 1%, 5%, and 10% significance levels, respectively.


6. CONCLUSIONS AND RECOMMENDATIONS

This paper analyzes the influence mechanism of digital economy development on environmental problems through theoretical analysis and puts forward corresponding hypotheses, uses panel data of 11 provinces and cities in Yangtze River Economic Belt from 2011 to 2020, calculates evaluation indicators of environmental problems and digital economy using entropy value method, and examines the influence mechanism of digital economy development on environmental problems in multiple dimensions by constructing panel regression model, mediating effect model, and spatial Durbin model. Empirical results show that, first, the development of the digital economy in the Yangtze River Economic Zone can significantly mitigate environmental problems, and that the core findings hold after replacing explanatory variables, varying the sample period, and using the instrumental variable method for robust analysis. Moreover, the heterogeneity analysis shows that the development of the digital economy in the downstream region of the Yangtze River Economic Belt has a greater environmental improvement than the midstream and upstream regions, while the midstream region has the least improvement. Second, the development of the digital economy in the Yangtze River Economic Belt has significantly alleviated environmental problems through industrial structure upgrading and green technology innovation. Third, digital economy development in the Yangtze River Economic Belt can also significantly mitigate regional environmental problems through spatial spillover effects.

After the above analysis, this paper puts forward the following policy recommendations: first, accelerate the development of the digital economy in the Yangtze River Economic Belt, improve the construction of the digital economy infrastructure in the Yangtze River Economic Belt, solidify the foundation for the development of the digital economy, and completely release the digital dividend to drive the development of the green economy. In addition, it should vigorously promote the deep integration of digital economy and traditional industries in the Yangtze River Economic Belt, so as to form a large number of modern industries, optimize industrial structure and fundamentally improve the entire industrial value chain. In addition, the government should support the technological innovation activities of the digital economy, so that all kinds of innovation activities can spring up, thus improving the productivity and operational efficiency of the whole industry, and taking advantage of the digital economy's ability to reduce environmental problems through green technological innovation. Secondly, considering the different stages of economic development and the level of development of digital economy in each region of the Yangtze River Economic Belt, we should take into account the conditions of each region, formalate strategic guidelines for the development of digital economy according to local conditions, release the dividends of emission reduction of digital economy, to make the local "gold and silver mountains" and "green water and green mountains" coexist harmoniously. Again, environmental problems have a clear spatial impact, and regions should make full use of digital technologies to implement cross-regional sharing of environmental monitoring data as early as possible, so that joint prevention and control mechanisms for the environment can be implemented across regions. Finally, the development of  digital economy has obvious spatial spillover effects, so the regions should increase the exchange of digital economy  among themselves and promote the synergistic linkage among them, so that the green development experience can be completely shared among the regions and thus achieve the goal of improving the ecological environment of the whole region.

Funding: This study received no specific financial support.  
Institutional Review Board Statement: The Ethical Committee of the Dongfang College, ShanDong University of Finance and Economics, China has granted approval for this study on 27 March 2023 (Ref. No. 5068).
Transparency: The authors state that the manuscript is honest, truthful, and transparent, that no key aspects of the investigation have been omitted, and that any differences from the study as planned have been clarified. This study followed all writing ethics.
Data Availability Statement: Upon a reasonable request, the supporting data of this study can be provided by the corresponding author.

Competing Interests: The authors declare that they have no competing interests.

Authors’ Contributions: All authors contributed equally to the conception and design of the study. All authors have read and agreed to the published version of the manuscript.

REFERENCES

Alfred, M. (1965). Principles of economics. In (1st ed., pp. 205-210). China: The Commercial Press.

Arthur, C. P. (2006). The economics of welfare. In (1st ed., pp. 127-132). China: The Commercial Press.

Chen, Z., Chen, Z., & Tan, W. J. (2022). On mechanism analysis and effect of digital economy on the promotion of high-quality economic development. Journal of Guangdong University of Finance and Economics, 182(3), 4-20.

China Communications Academy. (2021). China's digital economy developmen, 3-4. Retrieved from http://pt.csust.edu.cn/

Deng, R., & Zhang, A. (2022). Research on the impact of urban digital economy development on environmental pollution and its mechanism. South China Journal of Economics, 2022(40), 18-37.

Elhorst, J. P. (2014). Matlab software for spatial panels. International Regional Science Review, 37(3), 389-405. https://doi.org/10.1177/0160017612452429

Gan, C. H., Zheng, R. G., & Yu, D. F. (2011). An empirical study on the effects of industrial structure on economic growth and fluctuations in China. Economic Research, 2011(5), 4-31.

Guo, F., Yang, S., & Ren, Y. (2022). The digital economy, green technology innovation and carbon emissions: Empirical evidence from Chinese city-level. Shaanxi Normal University, 51(3), 45-60.

Hu, Z., & Li, Y. (2019). Dual effects and threshold characteristics of financial development on environmental pollution. China Soft Science, 2019(7), 68-80.

Li, G., & Zhou, X. (2021). Can promoting the digital economy improve environmental pollution in China: A quasi-natural experiment based on the “Broadband China” strategy. Macroeconomics, 2021(7), 146-160.

Liang, Q., Xiao, S., & Li, M. (2021). Has the development of digital economy improved urban ecological efficiency? -Based on the perspective of industrial structure upgrading. Economic Issues, 2021(6), 82-92.

Liu, F. Q., & Zhang, T. B. (2020). The fiscal revenue and expenditure structure change, industrial structure transformation and ecological environment quality improvement. Fiscal Research, 2020(10), 57-73.

Liu, J., Yang, Y., & Zhang, S. (2020). Research on the measurement and driving factors of China’s digital economy. Shanghai Journal of Economics, 2020(6), 81-96.

Liu, W., & Wang, Y. (2022). Effect and mechanism of digital economy empowering urban green and high-quality development. South China Journal of Economics, 2022(8), 73-91.

Liu, X. P., & Song, D. Y. (2013). The impact of urban industrial agglomeration on urban environment. Urban Issues, 212(3), 9-15.

Liu, X. Z., & Kong, F. X. (2021). Research on the impact of digital economy development on urban green transformation in the yangtze river economic belt: Based on the perspective of production-living-ecological space. Contemporary Economic Management, 43(9), 64-74.

Ren, B. P., & Li, P. W. (2022). The mechanism and path for the digital economy to cultivate new drivers of high-quality economy development in China. Journal of Shaanxi Normal University, 51(1), 121-132.

Ren, L., & Zhu, D. B. (2017). Is China's financial development green-on the Kuznets Curve hypothesis for China’s environmental. Economic Dynamics, 2017(11), 58-73.

Ronald, H. C. (2009). The firm, the market and the law. In (1st ed., pp. 75-93). China: Truth and Wisdom Press.

She, Q. Z., Wu, L., & Zheng, J. (2017). Digital economy, economic agglomeration and carbon emission. Statistics and Decision Making, 609(21), 5-10.

Tapscott, D. (2016). Economics of the digital age: Rethinking opportunities and risks in the age of network intelligence. In (1st ed., pp. 16-17). China: Machinery Industry Press.

Wen, Z. L., & Ye, B. J. (2014). Analyses of mediating effects: The development of methods and models. Advances in Psychological Science, 22(5), 731-745.

Xie, Y. F. (2022). The effect and mechanism of digital economy on regional carbon emission intensity. Contemporary Economic Management, 44(2), 68-78.

Xu, W. X., Zhou, J. P., & Liu, C. J. (2022). The impact of digital economy on urban carbon emissions: Based on the analysis of spatial effects. Geographical Research, 41(1), 111-129.

Yu, C. L., & Yang, H. Z. (2016). Impact of Chinese local government fiscal expenditure on environmental pollution under the fiscal decentralization-empirical analysis based on panel data from 287 cities. Fiscal Research, 2016(7), 46-58.

Yu, F., & Qi, J. G. (2007). Decomposing and analyzing the environmental pollution under the opening economic circumstances: Based on panel data of provinces, -autonomous regions and municipals of China from 1990 to 2003. Statistical Research, 24(1), 47-53.

Zhang, C., & Liu, C. (2015). The impact of ICT industry on CO2 emissions: A regional analysis in China. Renewable and Sustainable Energy Reviews, 44, 12-19. https://doi.org/10.1016/j.rser.2014.12.011

Zhang, J., Fu, K., & Liu, B. R. (2022). Can digital economy promote low-carbon transformation of cities from the perspective of dual objective constraint. Modern Finance and Economics, 391(8), 3-23.

Zhang, P. (2019). The essence of digital economy and its development logic. The Economist, 2, 25-33.

Zhang, Y. P., Dong, C., & Luan, J. (2021). Mechanism of digital economy promoting high-quality economic development: based on evidence from the provincial panel data. Journal of Jinan University, 31(5), 99-175.

Zhao, T., Zhang, Z., & Liang, S. K. (2020). Digital economy, entrepreneurship and high-quality economic development-empirical evidence from urban China. Management World, 36(10), 65-76.

Views and opinions expressed in this article are the views and opinions of the author(s), The Asian Economic and Financial Review shall not be responsible or answerable for any loss, damage or liabilityetc. caused in relation to/arising out of the use of the content.


Footnotes:

1 GDP is the final result of the productive activity of all resident units in a country (or region) in a certain period of time.

2 CPC stands for Communist Party of China.
3 ICT stands for Information and Communication Technology.

3 STIRPAT stands for scalable stochastic environmental impact assessment.  Model Formula: I = ɑPbAcTde , wherea、 b、c、d are the estimated parameters of the model,  e is the random error term.