DYNAMIC MODELLING AND SIMULATION OF AN INDUCTION MOTOR WITH COMPLETELY REDUCED STATOR TRANSIENTS

Oti Stephen Ejiofor1+ --- Nnadi Damian Benneth2 --- Ogbuefi Uche3 --- Nnabugwu C.G.4

1,2,3,4Department of Electrical Engineering, University of Nigeria, Nsukka, Enugu State, Nigeria.

ABSTRACT

Dynamic modelling and simulation of an induction motor is of great significance both in the academic and in the industrial world. The characteristics of an induction motor are represented mathematically. The mathematical representation is modeled with MATLAB/SIMULINK software. The main advantage of this software over other programming soft wares is that, instead of compilation of program code, the simulation model is built up systematically by means of basic function blocks. The dynamic properties of the induction motor are determined from the graphs obtained from the software. A reduced model of the induction motor is modeled by setting the stator transients to zero. In this paper, the complete model and the reduced model are compared. From the results obtained, the reduced model can sufficiently represent the dynamic characteristics of an induction motor - the currents, and rotor speed of the induction motor. Equally, from the results obtained, the torque dynamic characteristics of the motor are however not satisfactorily represented by the reduced model.

Keywords:MATLAB, Induction, Transients, Dynamic, Modeling, Simulation.

ARTICLE HISTORY: Received:14 May 2019 Revised:19 June 2019 Accepted:23 July 2019 Published:16 September 2019.

Contribution/ Originality:This paper studied the effect of reducing the induction motor model on the performance characteristics. It was observed that the reduced model represented the dynamic characteristics of an induction motor to a large extent considering the currents and rotor speed of the induction motor but not same with the torque dynamics.

1. INTRODUCTION

Both in the industry and in the academic world, dynamic modelling and simulation of an induction motor is of great significance. The dynamic simulation is one of the key steps in the validation of the design process of the motor drive system [1]. It removes mistakes and errors in the prototype production and analysis. The dynamic model of the induction motor is made in dq0 - direct, quadrature, and zero - sequence axes. A dynamic model is simply a mathematical representation of a system or network of systems. Similar works [2-10] especially on modelling and analysis abound with just a few [11, 12] narrowing down to component reduction. The full model of the induction motor is a high order differential system and thus difficult to model. A reduced model shortens the number of differential equations [11] and thus it is easier to model. In this work, the reduced model is obtained by completely reducing the stator transients. This means that the differential equations of the stator variables are set to zero. This makes for easy modelling and analyses of the motor. In this work, the complete model and the reduced model are compared. This is to show whether the reduced model is sufficient to be used in the analysis of the behavior of induction motors. The complete and the reduced models are simulated in a MATLAB/Simulink program. This program is preferred because it is easier to use; it can accomplish the dynamic model in a simple way; and it can be simulated faster with the use of function blocks.

Therefore, apart from the industrial need, this piece of work is relevant in academics for further research and study of the performance characteristics of induction motors.

1.1. Assumptions

To achieve a dynamic model for a 3-phase induction motor, the following assumptions were made:

  1. Uniform air gap.
  2. Squirrel-cage type construction.
  3. The stator and rotor windings are balanced and sinusoidally distributed.
  4. Saturation and parameter change are neglected [1].
  5. Motor operation is at no load.
  6. Rotor voltage is zero.
  7. Eddy current, temperature effects, and skin-effect are neglected [13, 14].
  8. Three-phase winding configuration.

2. MODELLING

A model of a system is a mathematical or physical representation of the system relationships [15]. Therefore, a dynamic modelling of an induction motor is defined as the representation of the dynamic characteristics of an induction motor using mathematical equations. Hence, to model an induction motor we need to derive the mathematical equations that show the relationships of the motor.

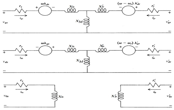
The equivalent diagram of an induction motor is shown in Figure 1.

Figure-1. Equivalent circuit diagram of an induction motor.

2.1. Electrical Model

Considering the electrical model of the induction motor, the voltage equations can be derived as:

2.2. Mechanical Model

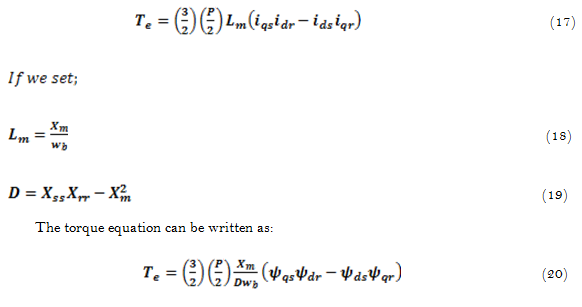
The mechanical model of the induction motor is represented by the torque equation. The torque equation can be expressed as:

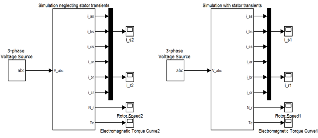
3. COMPLETELY REDUCED MODEL

To completely reduce stator transient simulation, the stator transients are set to zero. This means that:

The model depicting the full model and the completely reduced model are shown in Figure 2.

Figure-2. Model of the induction motor.

4. SIMULATION

The Table 1 shows the parameters used for the simulation of the induction motor:

Table-1. Parameters for simulation.

4.1. Simulation Results

For the parameters of the motor given in Table 1, the graphs of the rotor speed, electromechanical torque, stator current, and rotor current are plotted. Two plots were made for each graph: plot with stator transients and plot when the stator transients were neglected. Thus, the two plots were compared and contrasted. The results are to show that the completely reduced stator transients’ model is adequate to predict the behavior of an induction motor.

Figure-3. Graph of rotor speed (rpm) against time (s).

Figure-4. Graph of electromagnetic torque (Nm) against time (s).

Figure-5. Graph of stator current,ias (A) against time (s).

Figure-6. Graph of  against  of rotor current,ias (A)  against time (s).

4.2. Analysis of Results

Now, the different plots are analyzed taking a graph at a time.

4.2.1. Rotor Speed

From Figure 3, it is seen that the both plots are similar. They have the same steady state speed of 1800 rpm. Also, they reach this steady state at the same time, 0.15 second. The only obvious difference is noticed during the transient state, that is, between 0 to 0.15 second. The transient behavior is not exactly the same, but they are closely similar. This slight difference is as a result of the stator transients being neglected. It has, therefore, been shown that the stator transient can be used to predict the speed characteristics of an induction motor.

4.2.2. Electromagnetic Torque

From Figure 4, it can also be seen that both plots are similar. They have the same steady state torque of 0 Nm. They also reach their steady state at the same time, 0.15 second. However, the plot with stator transients has a maximum torque of 373.7 Nm and a minimum value of -40 Nm, while the plot without stator transients has a maximum torque of 191.1 Nm and a minimum value of 0 Nm. Also, the reduced model has lower overshoots. The difference in the two plots is plain and obvious, unlike that of the rotor speed. It can be deduced, therefore, that this reduced model cannot effectively predict the behavior of the torque of the induction motor.

4.2.3. Stator Currents

From Figure 5, the two plots, with stator transients and without stator transients, have no much difference. They have same steady state value and they reach this value at the same time, 0.15 second. They have approximately same maximum and minimum values. The transient characteristics are closely similar. Thus, we can conclude that the reduced model can be used effectively to determine the stator currents’ characteristics of an induction motor.

4.2.4. Rotor Currents

From Figure 6, the two models are again very similar with no much difference: same steady state value and time, approximately same maximum and minimum values. The transient behavior is the same. Therefore, the reduced model can be used to predict the rotor currents’ characteristics of the induction motor.

5. CONCLUSION

From the results obtained, the dynamic behavior of the induction motor has been determined using two different models. From the graphs, it is seen that the model with completely reduced stator transients can adequately determine the dynamic behavior of an induction motor.  Although the torque-characteristics of the motor is not satisfactorily represented, the currents, speed are adequately represented.

Therefore, it suffices to conclude that the completely reduced model can be used to predict the dynamic characteristics of an induction motor.

Funding: This study received no specific financial support.   
Competing Interests: The authors declare that they have no competing interests. 
Acknowledgement: All authors contributed equally to the conception and design of the study.

REFERENCES

[1]          P. L. Ratnani and A. Thosar, "Mathematical modelling of an 3 phase induction motor using MATLAB/Simulink," International Journal Of Modern Engineering Research, vol. 4, pp. 62-67, 2014.

[2]          P. C. Krause, O. Wasynczuk, and S. D. Sudhoff, Analysis of electric machinery and drive systems. Mohamed E. El-Hawary, Ed, 2nd ed. USA: IEEE Press Power Engineering Series, 2002.

[3]          B. L. Theraja and A. K. Theraja, A textbook of electrical technology, S. G. Tarnekar, Ed, Ram Nagar, 1st ed. New Delhi: S. Chand & Company Ltd, 2005.

[4]          P. A. Laplante, Electrical engineering dictionary. Boca Raton, Florida: CRC Press LLC, 2000.

[5]          J. B. Gupta, Theory and performance of electrical machines, 14th ed. New Delhi: Kataria & Sons S. K, 2006.

[6]          M. Rohit and V. K. Mehta, Principles of electrical machines. Ram Nagar, New Delhi: S. Chand & Co Ltd, 2006.

[7]          H. C. Stanley, "An analysis of the induction machine," Electrical Engineering, vol. 57, pp. 751-757, 1938.

[8]          R. H. Park, "Two-reaction theory of synchronous machines generalized method of analysis-part I," Transactions of the American Institute of Electrical Engineers, vol. 48, pp. 716-727, 1929. Available at: https://doi.org/10.1109/t-aiee.1929.5055275.

[9]          D. Brereton, D. Lewis, and C. Young, "Representation of induction-motor loads during power-system stability studies," Transactions of the American Institute of Electrical Engineers. Part III: Power Apparatus and Systems, vol. 76, pp. 451-460, 1957. Available at: https://doi.org/10.1109/aieepas.1957.4499587.

[10]        G. Kron, Equivalent circuits of electric machinery. New York, USA: John Wiley and Sons, 1951.

[11]        O. I. Okoro and E. J. Akpama, "Dynamic analysis and computer simulation of induction machine with stator transients neglected," in In Esptaee National Conference, University of Nigeria, Nsukka, 2002, pp. 130-135.

[12]        P. C. Krause, F. Nozari, T. Skvarenina, and D. Olive, "The theory of neglecting stator transients," IEEE Transactions on Power Apparatus and Systems, vol. 98, pp. 141-148, 1979. Available at: https://doi.org/10.1109/tpas.1979.319542.

[13]        O. Okoro, "Steady state and transient analysis of induction motor driving a pump load," Nigerian Journal of Technology, vol. 22, pp. 46-53, 2003.

[14]        S. E. Oti, C. A. Nwosu, D. B. Nnadi, and O. I. Okoro, "Performance study of three-phase induction motor driving a load," Discovery Journal, vol. 55, pp. 279-290, 2019.

[15]        K. Breitfelder and D. Messina, IEEE 100 the authoritative dictionary of IEEE standards terms, 7th ed. New York: Standards Information Network IEEE Press, 2000.

Views and opinions expressed in this article are the views and opinions of the author(s), Journal of Asian Scientific Research shall not be responsible or answerable for any loss, damage or liability etc. caused in relation to/arising out of the use of the content.