MONETARY POLICY TRANSMISSION MECHANISM OF PAKISTAN: EVIDENCE FROM BANK LENDING AND ASSET PRICE CHANNELS

Tayyaba Mukhtar1+ --- Muhammad Zeeshan Younas2

1COMSATS University Islamabad, Pakistan.
2Quaid-I-Azam University Islamabad, Pakistan.

ABSTRACT

The lending and asset price transmission channels remain largely unexplored since financial reforms and pursuance of market-based monetary policy instruments. This paper examines the monetary policy transmission mechanisms of Pakistan with a special focus on bank lending and asset price channels. Monthly data over the period 2000M7-2016M12 is being used for the short run analysis. The empirical investigation is based on SVAR framework. The results show that the monetary aggregates targeting agenda is still operative in effecting the output and general price level. Bank lending have a non-trivial part through the investment channel and share prices through wealth effect on price level and output, while the conventional interest rate channel seemed to be ineffective in the transmission mechanism process in Pakistan. The findings of generalized impulse response functions are backed by the generalized error forecast variance decomposition analysis. In addition to domestic variables, external shocks appear to have a strong influence on inflation and output in Pakistan.

Keywords:Lending channels, Asset price channels, Monetary policy, Transmission channels, Structural VAR, Pakistan.

JEL Classification:E50; E52; E58; E59; O23.

ARTICLE HISTORY: Received: 13 May 2019, Revised: 17 June 2019, Accepted: 19 July 2019, Published: 11 September 2019

Contribution/ Originality: This study contributes in the existing literature by examining the monetary policy transmission mechanisms of Pakistan with a special focus on bank lending and asset price channels.

1. INTRODUCTION

The goals of monetary policy remained same throughout the history of central banks irrespective of any regime, that is, stable prices without hurting the economic growth of the country (Auclert, 2019). The simple objective behind economic policies is to ensure public welfare, and to meet this objective the government pursue several policies including monetary and fiscal policies. Monetary policy narrows down the objective of welfare maximization by focusing on price and output stabilization (Blanchard and Gali, 2010; Ippolito et al., 2018). It is considered as actions taken by the policy makers to adjust the quality, accessibility or cost of money. Generally, it is referred as measures taken by the central banks to expand (or contract) its credit as per the demand of economy. Besides pursuing output and price stability, monetary policy can be used to achieve stable exchange rates, foreign exchange (FX) reserves and policy rates to avoid the fiscal distractions. Insufficient aggregate demand results in unemployment and excess demand results in inflation (Auclert, 2019). It is the sole responsibility of the monetary authorities to keep a balance between unemployment and inflation.

As far as Pakistan is concerned, the emphasis of the State Bank of Pakistan (SBP) is to maintain stable prices, reliability of financial system and optimal use of productive resources of country. Targets of economic growth and inflation established by the authorities are few monetary policy objectives as stated by the SBP Act of 1956. It is at disposal of SBP to achieve these objectives by choosing the effective monetary framework. Act further states that the SBP is to conduct monetary and credit policy consistent with the government targets for real GDP growth and inflation”. High and volatile inflation adversely effects the development of financial system and it hinders the optimum resource allocation as it obscures relative price changes (Qayyum, 2009).

The monetary transmission mechanisms in developing economies gets affected by the world main central banks and financial institutions (Aleem, 2010). Due to this, the model specified for these countries differs from the models of developed economies. Otherwise, this lead to the problem of model specification as explained by Sims (1980). It needs to have a clear insight of all monetary policy transmission mechanisms through which it disturbs the real economy in order to use it effectively as a tool of stabilization. Because of this complexity, transmission mechanism is also recognized as “black box” because there is not only one transmission mechanism. To implement the monetary policy successfully, economist needs to know the active transmission mechanism of the monetary policy. However, there is no consensus about exact channel through which monetary policy employs its impression on the real economy. “For the successful implementation of monetary policy, the monetary authorities must have a precise valuation of timing and effect of their policies actions on the economy” (Mishkin, 1995).

1.1. Research Gap and Objectives of the Study

There is a plethora of literature available which analyzing the monetary policy transmission channels for developed and developing economies. As best of our knowledge, there is no serious attempt has yet been made which exclusively examining the Bank Lending and Asset Price Channels of monetary policy with the perspective of developing economy like Pakistan. The study in hand is an attempt to fill this research gap and adds to the existing literature on monetary policy in Pakistan by exploring the role of credit and asset price transmission channels of monetary policy because credit and asset price channels of monetary policy was somehow ignored by earlier researchers.

The fundamental objective of this study is to analyze the various transmission channels through which the monetary policy actions are transmitted on macro variables like real output and inflation. The main focus is to study the effect of credit and asset price channels of monetary policy on inflation and real output in Pakistan using time series data covering the period of July 2000 to December 2016. The main objectives of this study are:

  1. To investigate the influence of credit and asset price channels of monetary policy on inflation and real output in Pakistan.
  2. To determine which transmission channel is relatively more effective in Pakistan to control inflation and get output stability.

1.2. Contribution of the Study

The previous research on Pakistan economy mainly analyzed the impact of credit channel on banking industry and overlooked the impact of asset price and credit shocks on output and inflation in Pakistan. To the best of our knowledge only few studies have investigated effect of monetary policy shocks in Pakistan. For example, Agha et al. (2005) used VAR model to analyze how effects of monetary policy are transmitted to real economy and concluded that bank lending channel is most effective. Likewise, Hussain (2009) VAR model based study found that exchange rate channel is a significant transmission mechanism in Pakistan. Munir and Qayyum (2014) used Factor Augmented VAR model for Pakistan economy to measure the effects of monetary policy and supported interest rate channel to effectively transmit the actions to real sector of economy. None of these studies except Agha et al. (2005) investigated asset price channel of monetary transmission, while hardly few studies are available on credit channel of monetary policy as well.

Earlier research conducted in Pakistan have concluded that using monetary aggregates to achieve the goals of monetary policy requires a stable money demand function and stable income velocity however, after financial sector reforms and financial liberalization, relationship between money and inflation weakened (Jan et al., 2013). This study covers the period of 2000 to 2016 that is, major portion of interest rate targeting span is focused as SBP changed its monetary policy stance in 2004. The policy changes and relative effectiveness of monetary policy has remained unexplored after this period and there is barely any study available focusing the post reform and interest rate targeting period. This study will also cover this shortcoming of previous literature as there is a need to figure out the active mechanism through which monetary policy shocks are transmitted to the economy.

Besides, the present study also analyzes the impacts of oil prices and foreign prices on real output and inflation in Pakistan. The external variables are of much importance as Pakistan is an open small economy and one of the factors that is assumed to be important while determining the inflation rate in Pakistan is the CPI of countries from where major part of Pakistan’s imports takes place as shown in Figure 1. In 2007, inflation in both countries picked up because of global financial crisis, which remained persistent till 2009. After 2009, when oil prices decreased the inflationary pressure in both the countries also diminishes. The trend of price movements is same; hence CPI of trading partner is an important foreign variable that we included in our analysis.

Figure-1. CPI of Pakistan and major import partner US for the period 2000 to 2016.

Source: Constructed by authors.

2. LITERATURE REVIEW 

2.1. Transmission Channels of Monetary Policy

There are a plethora of studies available that deals with the monetary policy transmission channels which is very complex and thought-provoking theme because there is not only one but multiple channels through which the central bank policies operates. The research on the topic of the transmission mechanisms is quite diverse and extends from a macroeconomic perspective to the microeconomic perspective (Ippolito et al., 2018). To study the relative significance of channels of monetary transmission in both developing and developed countries, plentiful researches have been conducted.

A prominent study with the perspective of monetary policy is conducted by Mishkin (1995) which depicts major monetary policy transmission channels containing exchange rate channel, equity price channel, interest rate channel wealth effect, housing and land price channel, balance sheet channel, bank lending channel and financial crisis channel. Kuttner and Mosser (2002) provided a seminal contribution in this regard and proposed the following monetary policy transmission mechanism in an explicit way.

Figure-2. Monetary policy transmission mechanism.

Source: Kuttner and Mosser (2002).

Interest rate channel have significant importance in the monetary policy transmission mechanism of an economy. The central bank of the country charges an interest rate on providing the funds to the banking system. Likewise, the rate of interest is fully determined by the central bank which has monopoly power overprinting money. According to Mishkin (1996) when the central bank uses expansionary monetary policy than the official rate of interest decreases which lower the cost of borrowing and increases the investment due to a negative relationship between them. Ultimately, the gross domestic product of the economy increases which he proved with the help of using the IS-LM framework (Buch et al., 2019). This mechanism gets invigoration with short term and long term expectations about the rate of interest. The whole discussion can be summarized with the help of the following flow equation (Daniel et al., 2018)

As per Mishkin (1995) when the central bank uses expansionary monetary policy then the official rate of interest decreases which make the foreign assets more attractive to the investors. So the demand for foreign currency will increase which ultimately decrease the exchange rate of the domestic country. Consequently, this monetary policy transmission channel can be used to smooth out the swings of the economy and to encourage foreign investment. The entire exchange rate channel can be explained in a better way with the following flow equation (Neuenkirch and Nöckel, 2018):

One more important transmission channel is a credit channel. If the central bank of the country uses contractionary monetary policy, means a decrease in the money supply, the money available for the bank's deposit will reduce which further decreases the bank loans creation. This process will put the multiplier effect on the economy and investment level will decrease due to lower deposits in the banks which ultimately put a negative impact on the gross domestic product of the economy (Ippolito et al., 2018; Neuenkirch and Nöckel, 2018). The whole discussion can be summarized with the help of following flow equation explicitly:

In addition, the balance sheet channel also has significant status in the monetary policy transmission mechanism. This channel arises when one party have incomplete information than the other which is also known as the asymmetric information. If the business firms have lower net worth then lending to these firms affected by moral hazard and adverse selection problem. Additionally, moral hazard means one person gets involved in risky actions knowing that the other person will pay for it. While on the other hand, adverse selection means is the same thing but occurs before the transaction (Neuenkirch and Nöckel, 2018; Buch et al., 2019). There are plenty of channels through which the monetary policy can disturb the balance sheet of firms.

Above channel is stating that if state bank apply contractionary monetary policy, it will lower the equity prices, due to an upsurge in adverse selection and moral hazard the network of firms will decline which eventually lower down the gross domestic product via a reduction in investment. Alternatively, the contractionary monetary policy can influence the balance sheet of the firm in another way in which reduction in money supply increase the interest rate which lower down the cash flow and ultimately reduction in the GDP with the help of an expansion in adverse selection and moral hazard channel (Lin and Ye, 2018). This argument can be described with the help of the following equation:

Some other prominent monetary policy transmission channels include savings and investment channels which is also known as intertemporal substitution channel. In simple words, intertemporal choice means choice related to two different time periods. If the state bank uses expansionary monetary policy then it will lower down the interest rate which is directly associated with the consumption and save tradeoff. So, how much a consumer save or consume depends on the sensitivity of interest rate which is an imperative debate in the monetary policy theory (Sterk and Tenreyro, 2018).

In the end, there are some key questions related to the monetary policy transmission channels for instance, which channel matters the most. It is very hard to answer this question because some transmission channels are easier to identify while others are not. Another question is whether these monetary policy transmission channels changed over time or not.  Again, it is very hard to answer but it does not matter that these channels change or not because monetary policy still works. Last important question is related to the favorite monetary policy transmission channel. The answer to this question is that the favoritism or selection of appropriate channels depends on the conditions of the economy. However, a bulk of studies claiming that cash flow channel has immense attractiveness for the policymakers.

Woodford (2010) mentioned three reasons for decreasing monetary independence and authority among economies as a result of increasing financial globalization. Firstly, increasing dependence on global interest rate and secondly, linking inflationary pressure to the global recession and finally, liquidity premia. Very few studies have been conducted to study the effect of external constraints on the monetary transmission mechanism (Lin and Ye, 2018; Neuenkirch and Nöckel, 2018). A couple of studies have been conducted in this regard for developed economies i.e. UK and USA. Surico (2007) considered the impact of global factors on the UK while Boivin and Giannoni (2008) studied the impact of global forces on monetary transmission in the USA.

The analysis of monetary policy transmission channels further extended by researchers from different perspectives. For instance, Auclert (2019) analyses the redistribution channel of monetary policy and suggest that three channels an earnings heterogeneity channel from unequal income gains, a Fisher channel from unexpected inflation, and an interest rate exposure channel amplify the effects of monetary policy. Likewise, Ippolito et al. (2018) extend the discussion towards bank lending channel and conclude that monetary policy can directly affect the liquidity and balance sheet strength of firms through existing loans.

2.2. Monetary Policy Shocks

A recent study by Afrin (2017) explored the bank lending channel of monetary policy in Bangladesh. Using SVAR framework, the author found strong influence of credit channel in Bangladesh economy and concluded that exchange rate channel was ineffective in developing economies like Bangladesh because of its highly intervened foreign exchange market, while credit played a non-trivial role in affecting domestic price level, inflation and output in Bangladesh. Montes and Machado (2013) noted that credit channel is an important transmission mechanism of monetary policy. This is particularly relevant for the economies targeting the inhibition of inflation like Brazil and other developing countries.

Catão and Pagan (2010) investigated monetary transmission channels of Brazil and Chile using expectations augmented SVAR model. They noted that changes in policy rate rapidly effects output and prices in these countries as compared to developed economies. Moreover, they found that along with interest rates, exchange rate dynamics contributes a major portion towards monetary policy transmission. They also observed the enormous effect of credit shocks on real economy in both countries but the effect is comparatively stronger in Chile as it has higher bank penetration. Another study found that monetary policy effects the funding cost of banks and changes its risk free rates. This effect of monetary policy leads to promotion of the bank lending channel especially because of those banks whose cost of funds alters most because of changes in monetary policy.

Kishan and Opiela (2000) studied the influence of credit and bank lending channel on the U.S economy for the time period 1980-1995. They found the main policy variables that should be kept in mind while formulating the monetary policy and summed them as bank portfolio structure, capital leverage ratio and asset size. They added that including these variables in monetary policy reaction function may help in evaluating the extent and distributional properties of monetary policy on growth of bank loans and on real economic activity.

3. DATA AND VARIABLE CONSTRUCTION

To examine the monetary policy and construction of SVAR model for Pakistan economy, we will follow the block recursive SVAR approach suggested by Dungey and Pagan (2009) and Afrin (2017). Our model consists of eight variables which further divided into two different sets; foreign block, and domestic block. The foreign block consists of oil prices (Dubai Fateh price) and foreign prices (consumer price index of United States is taken as foreign price) while the domestic block consists of Nominal Effective Exchange rate (NEER), Interest rate, Private sector credit, Industrial production index (proxy for output), General Prices (proxies by consumer price index) and Equity price. We employed monthly data covering the period from July 2000 to December 2016. Major data source are the IFS CD ROM 2017 and SBP’s monthly bulletins.

4. ESTIMATION STRATEGY

Sims (1980) introduced another technique that is Vector Auto Regression known as VAR. It has been a standard approach to identify the effectiveness of monetary policy, however, it does not remain efficient if we incorporate 6 to 8 variables in the model. The SVAR’s are applied by researchers to recover economic shocks from the given variables by imposing certain set of restrictions compatible with economic theory behind every assumption. Contrary to VAR model, SVAR has enhanced empirical apt and it allows identification of structural shocks based on economic theory. 1

4.1. Basic SVAR Model

The general representation of SVAR model is given by:

The VAR estimation is quite delicate to variables lag order. An optimal lag length reflects long term effect of a variable on others. While taking longer lag length can cause the problem of multicollinearity among the variables and reduces their degree of freedom (Chuku et al., 2011). The model represented by Equation 1 can be expressed as:

The identification of structural model denoted by Equation 2 must have economic interpretation for the sake of policy exploration (Leeper et al., 1996). Multiplying by  A˗1 to get the reduced form of Equation 2:

Where A1 of Equation 3 is represented by following Equation 4.

4.2. Identification of the Model

According to Sims (1980) “Identification is the interpretation of historically observed variations in data in a way that allows the variation to be used to predict the consequences of an action not yet undertaken”. The parametric restriction method is applied in this study because without theoretical restrictions the parameters in the SVAR model cannot be identified and interpretable. Two types of restrictions can be imposed in the SVAR model for just identification. One is short-run restrictions and the other are long-term restrictions. For identification of structural parameters, the restrictions are imposed on the basis of economic theory to retrieve structural shocks.

The approach to identification in SVAR is modified to overcome the short-comings in the identification of dynamic models. In our model, we impose (n2 + n)/2 restrictions on matrix A, B or both for unbiased identification. In addition, we need to impose additional restrictions n2 – (n2 + n)/2 on matrix B. Our model consists of 8 variables, so we need 28 additional restrictions to impose on matrix B.

Where εop , εfp , εer , εi , εcr , εsp , εy and εp are structural disturbances, that are world oil price, foreign price, domestic exchange rate, T-bill rate, private sector credit, share price, industrial output and domestic price level respectively, while uop, ufp, uer, ui, ucr, usp, uy, and up are the reduced form residuals.

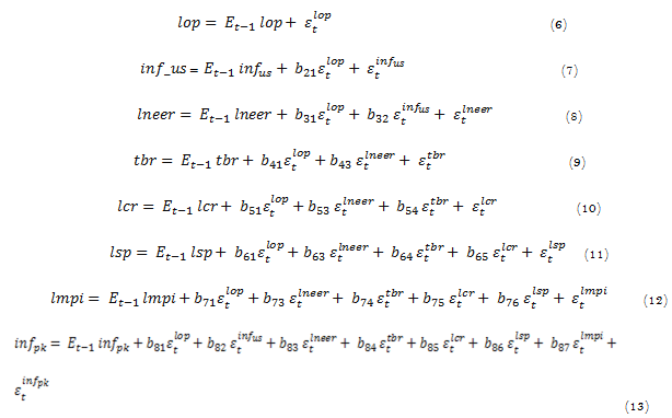
Two methods can be used to identify the required restrictions of the model. First is the recursive VAR and the second is SVAR. The difference in the restrictions matrix (A) differs recursive VAR from SVAR. In first, Cholesky decomposition assumes the matrix as diagonal (most probably lower diagonal), while in later we can assume any structure of the model via applying restrictions as shown in matrix represented by Equation 5. The covariance matrix of the structural disturbances should be a diagonal matrix in recursive VAR scheme, while the second matrix should be lower triangular. In simple words, we can say that the structural shocks are orthogonal. The SVAR model with respect to included variables can be described in a linear system of equations as:

The Equation 6 is for oil price, Equation 7 for foreign interest rate, Equation 8 for exchange rate, Equation 9 represents treasury bills rate, Equation 10 for private sector credit, Equation 11 deals with share price, Equation 12 describes industrial output and Equation 13 is for domestic price level. All the variables in the model are in logarithmic form except for T-bill rate. Where Et-1 are the conditional expectations operator, while b is the impulse response coefficients. From the above discussion, we can say that there are two categories of disturbances. First the reduced form errors and the second is structural disturbances. The shock to a VAR model is known as impulse response function (IRF). The idea behind the IRF is that when a shock is put to the error term of the system, it responds to the endogenous variables of the system. We can apply impulse response function in both unrestricted VAR and VECM model (restricted VAR) to examine the responsiveness of the variables. As our basic aim of this study is to capture the effect of private sector credit and share prices on the macro variables such as inflation and output. We, therefore, applied impulse response function (IRFs) to obtain the desired results. We employed generalized IRF’s as they are not sensitive to the ordering of variables. For the relative analysis of each dependent variable in clarifying variation in explanatory variables, we have used variance decomposition analysis.

5. ESTIMATIONS AND RESULTS

5.1. Stationarity of VAR Model Series

While estimating SVAR model, an adequate number of lags must be added to eliminate serial correlation and to make errors stationary, but the main purpose of using SVAR model is to find out the inter relationship among the variables rather than determining the parameter estimates so there is no need to concern about the variables stationarity (Khan and Ahmed, 2011; Sterk and Tenreyro, 2018). Sims (1980) also argued against the differencing of variables if they contain unit root before estimating SVAR. They observed that in attempt to make variables stationary by differencing, may misplace essential information related to co fluctuations in data (Enders, 2008). 2

5.2. Optimal Lag Length Selection

Selecting optimal lag length is an essential stage while estimating the SVAR model. Akaike Information Criteria (AIC) is treated as useful for selection of optimal lag length. Table 1 shows the lag lengths suggested by these criteria’s. Following AIC, we selected 8 lags in our model to retrieve the structural parameters efficiently.

Given structural factorization identified by Equation 5 we have imposed 24 restrictions on our model. Table 2 shows the contemporaneous correlation estimations grounded on SVAR model. These numbers describe basic insight of the association that subsists between variables. The contemporaneous relation matrix demonstrates that the estimated model is over identified. In order to examine the validity of over-identifying restrictions, we performed log likelihood ratio (LR) test. The LR statistic is 7.52 [0.1105], shows that null hypothesis cannot be rejected meaning that over identifying restrictions are valid.

Table-1. Optimal lag length selection

Lag
LogL
LR
FPE
AIC
SC
HQ
0
8O8.8137
NA
1.7le-14
-8. 997907
-8.854906
-8.  939916
1
2923.51 4
4015.555
l.6Se-24
-32.03948
-30.75247*
-31. 51757*
2
3001.669
141.3817
l.44e-24
-32.19853
-29.76751
-31. 21268
3
3060.355
100. .8861
l.55e-24
-32.13882
-28.56378
-30. 68904
4
3142. 089
133.1 634
l.29e-24
-32.33808
-27.61903
-30. 42438
5
3211.539
106.  9057
l.25e-24
-32.39932
-26.53625
-30. 02169
6
3263. 275
74.98837
l.51e-24
-32.26152
-25.25445
-29.41996
7
3334. 101
96.  29095
l.50e-24
-32.33821
-24.18713
-29. 03273
8
3426. 8 53
117. 7637*
l.l-Oe-24*
-32.66127*
-23.36617
-28. 89186

      * Selected by the criterion

Table-2. Contemporaneous structural coefficients

Coefficient
Std. error
Z-statistic
Prob.
b21
-0.020894
0.003374
-6.192181
0.0000
b31
0.041297
0.012038
3.430575
0.0006
b32
0.621644
0.242551
2.562941
0.0104
b41
-0.546296
0.332401
-1.643486
0.1003
b43
-8.355483
2.104280
-3.970709
0.0001
b51
0.003080
0.014451
0.213140
0.8312
b53
-0.040031
0.094729
-0.422578
0.6726
b54
0.006654
0.003234
2.057398
0.0396
b61
-0.224058
0.063694
-3.51775
0.0004
b63
-1.780388
0.417694
-4.262421
0.0000
b64
-0.013281
0.014421
-0.920918
0.3571
b65
-0.447587
0.330328
-1.354976
0.1754
b71
0.065779
0.053550
1.228359
0.2193
b73
0.926657
0356477
2.599482
0.0093
b74
0.000855
0.011752
0.072721
0.9420
b75
-0.608857
0.269925
-2.25565
0.0241
b76
-0.030377
0.060934
-0.498516
0.6181
b81
0.002098
0.009789
0.214275
0.8303
b82
-0.80956
0.186889
-4.331762
0.0000
b83
0.174021
0.063097
2.757969
0.0058
b84
-0.004968
0.002012
-2.468807
0.0136
b85
-0.026852
0.046872
-0.572873
0.5667
b86
0.019184
0.010440
1.837508
0.0661
b87
0.009112
0.012833
0.710059
0.4777

Source: Authors own calculation based on IFS and WDI datasets.

Likelihood Ratio (LR) test for identifying restrictions: χ2 (4) = 7.52 [0.1105].

The expected signs of coefficients of our interest (prices and output) with respect to credit and asset price shocks according to economic theory and the signs obtained in our analysis can be explained as: In case of private sector credit, a positive shock to credit leads to increased cash flows, which puts positive pressure on investment, and that is ultimately translated into increased output. The coefficient of output with respect to private sector credit (b75) has a value of 0.60 that shows positive relationship between credit and output which is consistent with the theoretical predictions. The coefficient of CPI with respect to credit (b85) is 0.026 which predicts positive relationship between prices and credit loaned out to private sector of the economy.  A positive shock to credit leads to increase the money demand as firms need more cash for their businesses. This puts some inflationary force on the economy as higher credit demand results in a surge in price. The positive reaction of CPI establish in our analysis is empirical reliable and recommends that the impact of credit shocks on domestic inflation is significant.

Besides, increased stock prices increases the financial wealth of households thus improving their consumption patterns. The results obtained for the coefficient of output with respect to share prices (b76) having value 0.03 also poses the same relationship and is consistent with the economic theory. The coefficient of CPI with respect to share prices (b86) is 0.0191. Increased share prices reduces the interest rate which generates incentives for investors to invest more. If economy is at full employment level the increased investment level puts upward pressure on the prices. However, our outcomes do not suggest any significant impression of asset price shocks to domestic prices. This shows weak transmission of monetary policy through asset price channel. 3

5.3. Impulse Response Functions

5.3.1. Shock to T- Bill Rate

Figure 3 shows GIRF’s of 4 variables (that is, Inflation, Manufacturing Production Index (MPI), NEER, and credit) to a positive one unit standard deviation shock to 6-month T-bill rate. The GIRF’s are investigated over a time horizon of 24 months. In response to an increase in 6-month T-bill rate, inflation rate immediately decreases till 4th month, afterwards it shows a slight recovery up to two months. However, after 6th month the price level starts falling and the trend remain persistent and lie below zero line till the end of entire horizon. Such response of inflation to policy rate remains insignificant. This predicts that traditional interest rate channel has trivial impact on inflation rate in Pakistan.

The response of output to interest rate shock is instantly positive for 3 months period, which is opposite to the economic theory. The reason could be due to the limitation of available data as we utilized data on industrial production index rather than real GDP. After three months it decreases and becomes negative in 7th month. After 12th month it turns to be positive, peaked in 16th month and afterward the response starts decreasing and becomes negative around 18th month. This trend of manufacturing production index exhibits volatility, however, the response seems to be short lived.  We observed no consistent trend by the response of output to interest rate shock. Afrin (2017) found similar results in case of Bangladesh.

The GIRF of nominal effective exchange rate to interest rate shock remains significant throughout the forecast horizon of 24 months. The immediate effect of increased interest rate is depreciation of Pakistani currency relative to the US dollars. The trend of depreciation is persistent throughout the forecast period. Mundell-Fleming model states that positive interest rate differential in domestic country leads to constant appreciation of exchange rate however our results shows opposite to that model. Weak external sector can accounts for depreciation of rupee in terms of dollar. Javid and Munir (2011) found the similar trend of exchange rate response to interest rate shock.

The GIRF response of private sector credit to monetary policy shock is negative and significant. As per Catão and Pagan (2010) the reason could be that interest rate affects credit through two channels. One is inter temporal effect in which shock to interest rate widens the spread between deposit and lending rate that results in a fall in credit. Second channel is intra-temporal, that positively effects the balance sheets of firms due to appreciation of domestic currency as a result of contractionary monetary policy. In our analysis we can observe that inter-temporal effect of monetary policy dominates the latter. The GIRF of credit to 6-month T-bill rate shock in equation 3 suggest that increasing interest rate causes to decrease in credit level in the economy.

Figure-3. GIRFS of a positive one S.D shock to T-bill rate.

Source: Authors own calculation based on IFS and WDI datasets.

5.3.1.1. Generalized Forecast Error Variance Decompositions Analysis (GFEVDs)

The GFEVDs analysis classify comparative importance of dependent variables in clarifying the fluctuations in the explanatory variables. The GFEVDs results of over a 24 months horizon presented in Table 3. We can observe in Table that oil price variations are persistent and most significant over the entire horizon of 24 months and they contribute to the large part of fluctuations ranging between 0.04% in first month to 25.4% at the end of twenty four months period. After oil prices, private sector credit and inflation explains the maximum variations in monetary policy rate effectively. With respect to the contribution of exchange rate fluctuations in explaining policy rate shock. We can see that exchange rate fluctuations are 8.3% in first month and gradually decreases over time. After sixth month period, it decreases to 2.0% and then ultimately 1.7% at the end of forecast horizon. The result shows that nominal effective exchange rate exhibits a decreasing trend in explaining fluctuations in monetary policy rate.

Looking at the variations in private sector credit and inflation, both shows significant variations to interest rate shocks. The fluctuations in credit are 7.7% in sixth month, kept on increasing and reaches to 18.7% in twenty fourth month period. Inflation shows comparatively mixed trend in explaining the policy rate shock. It is 18.5% in sixth month, going up to 20.1% after eighteen months and again moved down to 17.14% at the end of forecast horizon. While the contribution of output variations is minimum in explaining interest rate fluctuations. We can observe from Table 3 that interest rate shocks are not a prominent source of variation in output. It varies between 0.0 to 0.9% in 24 months that is almost near to zero. Kim (1999) also found similar results that monetary policy shocks does not explain fluctuations in G-7 countries. The study of Javid and Munir (2011) also supported our results that interest rate shocks are not dominant source of fluctuations in output in Pakistan. In a nutshell contribution of interest rate shock to oil price fluctuations (i.e. 25.43%) is highest followed by private sector credit (i.e. 18.7%) and inflation (i.e. 17.1%). While the effect of MPI, exchange rate and share price is almost insignificant.

Table-3. GFEVDs of T-bill rate.

Period
S.E.
OP
NEER
TBR
CR
SP
MPI
INF
1
0.076449
0.045507
8.301717
91.63876
0.00000
0.0000
0.0000
0.0000
6
0.233987
6.622916
2.028126
62.67000
7.709070
0.479753
0.706966
18.51612
12
0.313357
16.82713
1.027571
41.78201
13.84924
0.544247
1.196325
22.91883
18
0.340799
23.87724
0.905576
33.32404
16.22036
1.328716
0.912312
20.19522
24
0.356727
25.43212
1.683839
27.95334
18.72341
2.977877
0.925997
17.14109

Source: Authors own calculation based on IFS and WDI datasets.

5.3.2. Credit Shock

The response of inflation seems to be negative to one unit positive shock to private sector credit in the impact period. However, the response starts increasing after about third month, peaked in seventh month and thereafter the response remains positive and constant through the forecast horizon. The positive shock to private sector credit shows  inflationary pressure on the economy as price level starts increasing, though, the extent of this increase in not much high, however, it remains persistent throughout the whole forecast horizon.

In response to positive innovation to credit, as represents by Figure 4, exchange rate shows significant movements. In the first 6 months period currency starts depreciating but after 6 months exchange rate starts to respond with a lag by appreciating to some extent. After 12 months the trend starts repeating itself and currency starts depreciating and then again appreciating so net effect of movements in exchange rate is nullified. Similarly, output responds aggressively to credit shock and starts increasing initially. After fourth month it starts decreasing, then it moves in the downward direction in the 8th month’s period and trend keeps on repeating itself till the end of 24 months. The positive shock to credit means increased amount of money that can be loaned out to private sector. Increase in loans puts positive pressure on investment that ultimately increases the output level of the economy. The GIRF of output towards positive credit shock shows the same trend but the responses are not persistent over the time.

In response to positive shock to credit central bank increases its policy rate to maintain its goal of price stability. As private sector credit increases the equity price and cash flows also increases, in response to this increased price of equity SBP raises interest rate to keep a stable relationship between prices. To sum up, the credit channel with regard to monetary policy in Pakistan shows significant impact on macro variables. Agha et al. (2005) also confirmed the effectiveness of credit channel as monetary transmission mechanism for the Pakistan’s economy. The variance decomposition analysis of private sector credit is reported in Table 4.

Figure-4. GIRFs of a positive unit shock to private sector credit.

Source: Authors own calculation based on IFS and WDI datasets.

Table-4. GFEVDs of private sector credit.

Period
S.E.
OP
NEER
TBR
CR
SP
MPI
INF
1
0.076499
0.104105
0.039299
2.271815
97.45572
0.0000
0.0000
0.0000
6
0.233987
7.121357
0.965408
0.806522
82.23950
1.479382
6.312327
0.148930
12
0.313357
18.36634
2.829982
4.908807
61.02545
3.422923
7.079175
1.362470
18
0.340799
14.05404
5.626832
7.093059
53.75282
2.991913
5.816890
9.860109
24
0.356727
10.37678
6.352450
13.15089
41.42969
2.939121
5.893750
18.78111

Source: Authors own calculation based on IFS and WDI datasets.

Table 4 shows that inflation substantially contributes to explain variations in the credit shock. In the first six months of forecast horizon, fluctuations in inflation was 0.14% which increases to 1.36% at the end of twelve months. We can clearly observe from FEVD of credit that inflation significantly effects in the longer horizon. In 18th month fluctuations in inflation are 9.8% which got doubled in the 24th month. The significant effect of variations in price level to credit shocks shows the importance of credit channel in determining the inflation level of the economy. After inflation the short term interest rate fluctuations contributes most to the credit innovations. The trend of policy rate is significant over the longer horizon and it varies from 2.2% in first month to 13.1% at the end of forecast horizon.

Besides, oil prices also contribute substantially to credit shocks. The variation in oil price in first month is 0.10% which keeps on rising till the end of 12 months. The fluctuations after 12 months is 18.3% and after that it starts decreasing and reaches to 10.37% at the end of forecast period of 24 months. The significant variations in the oil price as a result of credit innovation shows that oil price effectively impacts the supply side of our domestic industry. The analysis of output variations to credit shock shows small but pretty significant response to credit shock. The initial impact of output fluctuations is 6.3% and 7.07% in the sixth and twelfth month respectively. After 12th month the trend goes down and ends up at 5.89% in 24th month.

5.3.3. Asset Price Shock

In Figure 5, the reaction of output towards the shock of share prices shows that response remains significant but quite short lived for whole 24 months. The impact effect of output is positive, peaked in 6th month and then starts decreasing till 8th month. The effect of increased share prices on output works through the wealth effect. It positively effects the value of financial assets hence increasing their wealth. The consumption and investment patterns changes because of less financial distress and good economic conditions (Mishkin, 2001). The increased expenditures on durables and housing ultimately increases the output of the economy. After 8th month output shows significant and consistent response towards share prices shock throughout the whole forecast period.

The response of nominal effective exchange rate towards share prices volatility is contradictory to what theory explains. The impact effect of exchange rate is slightly negative which starts increasing after 4th month and after period of eight months it shows sharp positive movement, get its peak value in 14th month. The trend of exchange rate till 14th month shows depreciation of currency and after that the trend changes. It is depicted that exchange rate may start appreciating after the period of 14 months. The traditional theory says that when share prices increases there is inflow of foreign funds, as investment has more returns so the domestic currency will appreciate in terms of dollars. But Dimitrova (2005) introduced an assumption to the Mundell-Fleming Model and called it J-curve effect. The results of GIRF also shows consistency to the J-curve effect.

Policy rate shows short lived movements towards share prices volatility. The impact effect of increased share prices is decrease in policy rate. After about three months interest rate starts increasing for a short time and gets a peak in 9th month. The effect of policy rate is inconclusive till 9th month however after that it shows a constant decreasing trend. The negative relationship between interest rate and share prices also accounts for the decreasing interest rate however, there is no persistent effect of policy rate towards increased equity price that shows weak transmission of monetary policy through asset price channel. The variance decomposition analysis of share prices is reported in Table 5. It shows the variance explained by variables due to share prices shock.

Figure-5. GIRFs of a positive unit (one S.D) shock to share prices.

Source: Authors own calculation based on IFS and WDI datasets.

Table-5. GFEVDs of share prices.

Period
S.E.
OP
NEER
TBR
CR
SP
MPI
INF
1
0.076499
2.176756
8.239131
0.341278
0.777656
82.67308
0.0000
0.0000
6
0.233987
7.856139
6.989459
0.725320
8.448304
44.18040
0.678376
16.88171
12
0.313357
3.870583
9.539029
0.608754
5.083972
30.51045
0.324164
32.99253
18
0.340799
3.916193
7.747519
1.272147
3.954358
27.98279
0.310907
39.64980
24
0.356727
4.490936
6.957141
2.061791
3.804474
28.42366
0.511473
39.00813

   Source: Authors own calculation based on IFS and WDI datasets.

Table 5 shows that inflation accounts for the most variation in response to share prices innovations. Starting from 0.00% it gets the value of 32.99% in 12 months and then reaches to 39.00% in 24th month. Exchange rate and oil prices explains 6.9% and 4.4% percent variations respectively. While output, credit and policy rate do not significantly explains the variance of share prices.

5.4. Oil Price Shock

Next GIRF, Figure 6, shows the response of output to oil price shock. It depicts that reaction of output to oil price variation is short lived. MPI shows some significant increase in the first half of forecast horizon but after that the effect almost dies out. Javid and Munir (2011) also found out that oil price variations do not significantly affect the output level of our economy. Afrin (2017) found the same trend of output towards oil price variations for Bangladesh’s economy.

The goal of monetary policy is not limited to maintain stable prices only, it has multiple objectives. So central bank does not reacts very harsh to the foreign shock Afrin (2017). The GIRF shows the reaction of policy rate to positive oil price shock. In response to increased prices due to oil price shock, central bank raises its interest rate but not very immediately. We can see the sharp rise in policy rate after 4 months of shock. After 7 to 8 months interest rate stops reacting to oil shock and the trend remains consistent with little variations till the end of forecast horizon. The last GIRF plots the response of private sector credit to the shock in oil price. It significantly effects the private sector credit as increased cost of production causes the firms to demand more credit. The variance decomposition analysis of oil price shock is reported in Table 6.

Figure-6. GIRFs of a positive unit (one S.D) shock to oil prices.

Source: Authors own calculation based on IFS and WDI datasets.

Table-6. GFEVDs of foreign shock (oil prices).

Period
S.E.
OP
NEER
TBR
CR
SP
MPI
INF
1
0.076499
100.000
0.0000
0.0000
0.0000
0.0000
0.0000
0.0000
6
0.233987
82.28834
3.089779
0.124702
4.001877
7.063211
0.868518
0.539353
12
0.313357
66.45175
5.868151
1.824203
9.722263
5.358059
0.587700
6.728261
18
0.340799
63.59451
5.822453
1.737263
10.54126
4.353769
0.633102
9.216056
24
0.356727
60.42872
5.427447
1.639960
11.85203
5.071671
1.222124
8.773788

Source: Authors own calculation based on IFS and WDI datasets.

It is evident from the table that credit contributes to the highest variation to oil price volatility. Starting from 0.00% in the first month its value is 9.7% at the end of 12 months. The variations in next 12 months are not as volatile. The variance varies from 0.00% to 11.8%.  The fluctuations in inflation seems significant in longer horizon. After 12 months the variations varies from 6.7% to 9% starting from 0.00% in 1st month. The variations in MPI and interest rate does not contribute much to oil price shock. Analysing FEVD’s and GIRF’s it is clear that foreign factors play important role in variation of domestic variables.

6. CONCLUSION

In this research, we have investigated monetary policy transmission channels with special emphasis on credit and asset price channels in Pakistan. We have also analysed the impact of external shock, that is, oil price shock on inflation, output, exchange rate and interest rate in Pakistan. For the analysis of short-run dynamics, we applied the Structural Vector Autoregressive (SVAR) methodology using monthly data over the period 2000M7 to 2016M12. Evidence based on GIRFs it is concluded that private sector credit significantly influences the inflation and output level in Pakistan, while share prices contributes maximum towards the output level only. They did not display any noteworthy effect on inflation. However, the traditional Taylor type rule (interest rate channel) is not found to be effective in transmitting monetary policy shocks on the price level. Our results supports the earlier findings of Malik and Ahmed (2010) and Khan and Ahmed (2016). They also found the similar results for interest rate channel of monetary policy. Analyzing the GIRF of inflation, output, exchange rate and interest rate to private sector credit, it is evident that transmission channel of monetary policy that works through its effect on private credit is most optimal for achieving the objectives of monetary policy, that is, price and output stability. Agha et al. (2005) found similar results for Pakistan’s economy that credit channel of monetary policy transmission is non-trivial in case of Pakistan. Afrin (2017) also found the similar results for Bangladesh economy. The author concluded that credit channel plays an effective role to achieve the stated goals of monetary policy in Bangladesh. Moreover, considering GIRFs of inflation, output, exchange rate and private sector credit to oil price shock, it is clear from the results that foreign variable proved to be an important driver in effecting domestic macro aggregates. Oil price shocks significantly effects the price level, output, exchange rate and credit in the short-run. Hence, monetary policy in Pakistan gets affected by the domestic as well as foreign variables that effects economic conditions of Pakistan. Javid and Munir (2011) also stated that oil price seemed to be an important variable in transmitting monetary policy shocks on other variables. By summing up, the current interest rate targeting framework does not works efficiently to influence the domestic price level and it may not act as suitable target variable for monetary policy. Our results suggest that credit channel is most vital to transmit its effects on inflation and output level in Pakistan economy.

6.1. Policy Recommendations

The outcomes of this study provides some important policy implications. The results suggest that interest rate channel is ineffective to stabilize inflation and output level in Pakistan that’s why SBP should not limit its attention towards interest rate. Second, credit channel of monetary transmission proved to be more powerful to transmit effects of monetary policy on real sector of economy. The role of bank lending is prominent because non-bank sources of financing are very low in Pakistan. So SBP should add credit as target variable in their monetary policy reaction function. Third, besides credit, output shows a significant reaction towards asset price shocks. Therefore, SBP should keep in mind credit and share prices, while framing information set of monetary policy. Since private sector credit effects output thorough investment level, while share prices also acts as important indicators of economic growth through wealth effect. Fourth, in addition to domestic variables, it is evident that monetary policy of Pakistan is constrained by foreign variables as well. Our results suggested that external shocks in terms of oil prices and foreign prices effects macro variables such as interest rate, exchange rate, inflation and output significantly. Therefore, monetary policy requires the inclusion of foreign variables in the reaction function of SBP. Concluding the results, we can say that macro variables that is; inflation and output gets affected by both external and internal shocks, hence, SBP may consider both domestic and foreign variables as important determinants of monetary policy and should add these variables in its reaction function. Proper model specification, considering all foreign and domestic constraints will not only improve the outcomes but will also reduce the bias.

Funding: This study received no specific financial support.  
Competing Interests: The authors declare that they have no competing interests.
Acknowledgement: Both authors contributed equally to the conception and design of the study.

REFERENCES

Afrin, S., 2017. Monetary policy transmission in Bangladesh: Exploring the lending channel. Journal of Asian Economics, 49: 60-80.Available at: https://doi.org/10.1016/j.asieco.2016.10.003.

Agha, A.I., N. Ahmed, Y.A. Mubarik and H. Shah, 2005. Transmission mechanism of monetary policy in Pakistan. SBP-Research Bulletin, 1(1): 1-23.

Aleem, A., 2010. Transmission mechanism of monetary policy in India. Journal of Asian Economics, 21(2): 186-197.

Auclert, A., 2019. Monetary policy and the redistribution channel. American Economic Review, 109(6): 2333-2367.Available at: https://doi.org/10.1257/aer.20160137.

Blanchard, O.J. and J. Gali, 2010. The macroeconomic effects of oil price shocks: Why are the 2000 so different from the 1970? International Dimensions of Monetary Policy: 373 -421.Available at: https://doi.org/10.7208/chicago/9780226278872.003.0008.

Boivin, J. and M. Giannoni, 2008. Global forces and monetary policy effectiveness (No. w13736). National Bureau of Economic Research. Available from https://www.nber.org/papers/w13736.

Buch, C.M., M. Bussiere, L. Goldberg and R. Hills, 2019. The international transmission of monetary policy. Journal of International Money and Finance, 91: 29-48.

Catão, L. and A. Pagan, 2010. The credit channel and monetary transmission in Brazil and chile: A structural var approach. Documentos de Trabajo (Banco Central de Chile), (579). pp: 1. Available from https://dialnet.unirioja.es/servlet/articulo?codigo=3244197.

Chuku, C.A., U.F. Akpan, N.R. Sam and E.L. Effiong, 2011. Oil price shocks and the dynamics of current account balances in Nigeria. OPEC Energy Review, 35(2): 119-139.Available at: https://doi.org/10.1111/j.1753-0237.2011.00186.x.

Daniel, K., L. Garlappi and K. Xiao, 2018. Monetary policy and reaching for income (No. w25344). National Bureau of Economic Research. Available from https://www.nber.org/papers/w25344.

Dimitrova, D., 2005. The relationship between exchange rates and stock prices: Studied in a multivariate model. Issues in Political Economy, 14(1): 3-9.

Dungey, M. and A. Pagan, 2009. Extending a SVAR model of the Australian economy. Economic Record, 85(268): 1-20.Available at: https://doi.org/10.1111/j.1475-4932.2008.00525.x.

Enders, W., 2008. Applied econometric time series. John Wiley & Sons. Available from https://www.academia.edu/25270301/Applied_Econometrics_Time_Series_4th_edition.

Hussain, K., 2009. Monetary policy channels of Pakistan and their impact on real GDP and inflation. Center for International Development at Harvard University, CID Graduate Stutent Working Paper Series No 41. Available from http://www.cid.harvard.edu/cidwp/grad /041.html.

Ippolito, F., A.K. Ozdagli and A. Perez-Orive, 2018. The transmission of monetary policy through bank lending: The floating rate channel. Journal of Monetary Economics, 95: 49-71.Available at: https://doi.org/10.1016/j.jmoneco.2018.02.001.

Jan, A., A. Haider and S.K.H. Bukhari, 2013. On the (Ir) relevance of monetary aggregate targeting in Pakistan: An eclectic view (No. 62). State Bank of Pakistan, Research Department.

Javid, M. and K. Munir, 2011. The price puzzle and monetary policy transmission mechanism in Pakistan: Structural vector autoregressive approach. MPRA, Paper No. 30670.

Khan, M.A. and A. Ahmed, 2011. Macroeconomic effects of global food and oil price shocks to the Pakistan economy: A structural vector autoregressive (SVAR) analysis. The Pakistan Development Review, 50(4 Part II): 491-511.Available at: https://doi.org/10.30541/v50i4iipp.491-511.

Khan, M.A. and A.M. Ahmed, 2016. Conducting monetary policy in South Asian economies: An investigation. Pakistan Development Review, 55(3): 161-190.Available at: https://doi.org/10.30541/v55i3pp.161-190.

Kim, S., 1999. Do monetary policy shocks matter in the G-7 countries? Using common identifying assumptions about monetary policy across countries. Journal of International Economics, 48(2): 387-412.

Kishan, R.P. and T.P. Opiela, 2000. Bank size, bank capital, and the bank lending channel. Journal of Money, Credit, and Banking, 32(1): 121-141.Available at: https://doi.org/10.2307/2601095.

Kuttner, K.N. and P.C. Mosser, 2002. The monetary transmission mechanism: Some answers and further questions. Economic Policy Review, 8(1): 15-26.

Leeper, E.M., C.A. Sims, T. Zha, R.E. Hall and B.S. Bernanke, 1996. What does monetary policy do? Brookings Papers on Economic Activity, 1996(2): 1-78.

Lin, S. and H. Ye, 2018. The international credit channel of US monetary policy transmission to developing countries: Evidence from trade data. Journal of Development Economics, 133: 33-41.Available at: https://doi.org/10.1016/j.jdeveco.2018.01.007.

Malik, W.S. and A.M. Ahmed, 2010. Taylor rule and the macroeconomic performance in Pakistan. The Pakistan Development Review, 49(1): 37-56.Available at: https://doi.org/10.30541/v49i1pp.37-56.

McCallum, B.T., 1993. Discretion versus policy rules in practice: Two critical points: A comment. In Carnegie-Rochester Conference Series on Public Policy. North-Holland, 39: 215-220. Available from https://www.sciencedirect.com/science/article/pii/016722319390010T.

Mishkin, F.S., 1995. Symposium on the monetary transmission mechanism. Journal of Economic Perspectives, 9(4): 3-10.Available at: https://doi.org/10.1257/jep.9.4.3.

Mishkin, F.S., 1996. The channels of monetary transmission: Lessons for monetary policy (No. w5464). National Bureau of Economic Research. Available from https://www.nber.org/papers/w5464.pdf.

Mishkin, F.S., 2001. The transmission mechanism and the role of asset prices in monetary policy (No. w8617). National Bureau of Economic Research. Available from https://www.nber.org/papers/w8617.

Montes, G.C. and C.C. Machado, 2013. Credibility and the credit channel transmission of monetary policy theoretical model and econometric analysis for Brazil. Journal of Economic Studies, 40(4): 469-492.Available at: https://doi.org/10.1108/jes-07-2011-0086.

Munir, K. and A. Qayyum, 2014. Measuring the effects of monetary policy in Pakistan: A factor-augmented vector autoregressive approach. Empirical Economics, 46(3): 843-864.Available at: https://doi.org/10.1007/s00181-013-0702-9.

Neuenkirch, M. and M. Nöckel, 2018. The risk-taking channel of monetary policy transmission in the Euro area. Journal of Banking & Finance, 93: 71-91.Available at: https://doi.org/10.1016/j.jbankfin.2018.06.003.

Qayyum, A., 2009. Does monetary policy play effective role in controlling inflation in Pakistan. MPRA, Paper No. 13080.

Sims, C., 1980. Macroeconomics and reality. Econometrics, 48(1): 1-48.

Sterk, V. and S. Tenreyro, 2018. The transmission of monetary policy through redistributions and durable purchases. Journal of Monetary Economics, 99: 124-137.Available at: https://doi.org/10.1016/j.jmoneco.2018.07.003.

Surico, P., 2007. The monetary policy of the European central bank. Scandinavian Journal of Economics, 109(1): 115-135.

Woodford, M., 2010. Optimal monetary stabilization policy. In Handbook of Monetary Economics. Elsevier, 3: 723-828. Available from https://www.sciencedirect.com/science/article/pii/B9780444534545000025.

Views and opinions expressed in this article are the views and opinions of the author(s), Asian Journal of Economic Modelling shall not be responsible or answerable for any loss, damage or liability etc. caused in relation to/arising out of the use of the content.


Footnotes:

1. Besides, VAR technique examine the model based on statistical inferences and there is no underlying economic theory. To overcome these difficulties, in the structural vector autoregressive (SVAR) model all variables are treated as endogenous.
2. Similarly, McCallum (1993) also confirmed the same argument that estimation of SVAR is appropriate in levels if only error terms contain no unit root and are serially uncorrelated.
3. We perform the AR test to check the stability of SVAR system and observed if all the Eigen values lie inside the unit circle or not. Table shows that estimated SVAR model is stable. Hence, we can safely go for IRF analysis of structural model. AR roots table and AR roots graph of estimated SVAR system can be provided on demand.
Malik and Ahmed (2010) and Khan and Ahmed (2016) Also found similar results and concluded that SBP does not follow the Taylor Rule (i.e. interest rate) while formulating the monetary policy strategy.