MAKING SENSE OF THE LINKAGE AMONG IRANIAN ENGLISH LANGUAGE TEACHERS’ GRIT LEVEL, SELF-EFFICACY, AND THEIR CONTINUING PROFESSIONAL DEVELOPMENT

Akram Faravani

English Department, Islamic Azad University, Mashhad, Iran.

ABSTRACT

This study discusses the professional issues concerning Iranian EFL teachers’ grit level, self-efficacy, and continuing professional development. Teacher Continuing Professional Development is an essential factor in enhancing teaching practice from Initial Teacher Education right through to headship. However, there has been less previous evidence for the relationships between teachers' self-efficacy and Grit level with their continuing professional development (CPD). The researcher proposed a new model of interrelationships among Iranian EFL teachers using AMOS software to illuminate this uncharted area. 204 EFL teachers (111 males and 93 females) teaching in different private language institutes in Mashhad, Iran, were the population selected through convenience sampling. The research instruments used include Short Grit Scale, Teachers’ Self-Efficacy Scale, and teachers’ Continuing Professional Development questionnaire. The results of structural equational modeling revealed that teachers’ grit and self-efficacy are significant positive predictors of CPD. Moreover, the study results revealed that teacher grit was predicted only by self-efficacy. Pearson correlation analysis showed the highest correlation between self-efficacy and CPD and the lowest correlation between grit and CPD. Along the line, various pedagogical implications arose from the research results for teachers, administrators, and the ministry of education.

Keywords:Continuing professional development, Self-efficacy, Structural equation modeling, Teacher frit, Perseverance.

ARTICLE HISTORY: Received:28 March 2022, Revised:4 May 2022, Accepted:20 May 2022, Published:10 June 2022

1. INTRODUCTION

Teaching a language is a profession, just like every other profession. Teaching a language requires various skills ranging from high proficiency to academic knowledge of language learning and teaching methodology (Hardy, 2011). Several growing appeals for professionalism are considered to be the epitome to which practitioners and teaching associations yearn and try to outperform other teachers  (Rimmer & Floyd, 2020). Accordingly, teacher professionalism is a fast maturing field, with many well-understood methods that should be spun out in every teacher education program. In this way, teacher education programs nourish the seeds for development (Smith, 2005) so that teachers can spouse professionalism that fosters autonomy and responsibility after graduation from pre-service teacher education (Ro, 2020). Also, effective professional development plans can promote teachers’ knowledge and proficiencies to effectively affect student learning.  Researchers have widely highlighted the importance of ‘Continuing Professional Development (CPD)’ for instructors. Teacher CPD is an essential factor in promoting teaching practice and staying up to date with the latest information in the field of education (Karabenick & Noda, 2004, as cited in Celik, Mačianskienė, and Aytin (2013)). The vitality of CPD inspired the scholars to study the role of different cognitive (e.g., memory, mindsets, critical thinking, learning strategies, reasoning, and remembering) and non-cognitive factors (e.g., Grit, self-efficacy, stress, self-esteem, anxiety, motivation, self-regulation, beliefs, and intrapersonal resources) in fostering continuing professional development. It was also pointed out that high-achieving individuals use non-cognitive factors that do not depend on an intellectual ability, such as social skills and attitudes, to accomplish success (Shechtman, DeBarger, Dornsife, Rosier, & Yarnall, 2013).

Grit is among the non-cognitive factors influencing teachers’ continuing professional development. Grit has been characterized as effort and drive to reach goals and has appealed to researchers in different fields like psychology, social sciences, and education (Duckworth, Peterson, Matthews, & Kelly, 2007; Robins, 2019). Grit answers the question, “How come some individuals of equal intelligence accomplish more than others?” Grit is a compelling predictor of success and achievement in the profession (Sudina et al., 2021). According to Duckworth et al. (2007), Grit demands teachers' strenuous work and effort toward challenges and investing interest over the years despite failure in their progress.

Teacher grit has been characterized as teachers' possession of durability, domination, fearlessness, forbearance, constancy, and confidence. For example, the durability of instructors depends upon their impetus, endeavor, and perseverance to enable them to reach their goals in their profession (Argon & Kaya, 2018). Besides, Bobek (2002) defined teacher grit as having the aptitude to adapt to diverse teaching conditions and face up to adverse conditions. It is worth mentioning that English language teaching is a demanding profession. Instructors must remain motivated in the face of adversity and challenges to show their quality in teaching. Therefore, gritty teachers believe that their job is like a marathon, so they should try hard for an extended period to be successful. It can be concluded that grit is related to teacher maintenance and success in their profession. Despite the limited attention to teacher grit in the field of second language acquisition, teacher grit can be a significant predictor of teacher success in meeting objectives and in teacher maintenance and quality. Therefore, grit and teachers’ professional development may connect. In addition, self-efficacy is a non-cognitive facet that impacts teachers’ effectiveness (Usher, Li, Butz, & Rojas, 2019). In other words, self-efficacy mingles individuals' beliefs about their capabilities to practice control over what happens in the environment to reach a higher level of functioning (Bandura, Barbaranelli, Caprara, & Pastorelli, 1996). Teachers with a high level of self-efficacy collaborate with other teachers and believe in their ability to succeed, and consider challenging tasks as something that can be solved rather than ignored. Self-efficacy refers to a teacher's understanding and evaluation of his/her capabilities to accomplish a task (De Vries, Van De Grift, & Jansen, 2013).

Some studies deal with the connection between perseverance and one's belief in the ability to succeed. Dobbins (2016) addressed this link and reported that self-efficacy enhances teachers' grit levels. The present study assumed that grit and self-efficacy could be predictors of teachers’ CPD. Besides, previous research has proposed seminal contributions that emphasized the significance of self-efficacy as a predictor of CPD. For example, Fischman (2018) conducted a qualitative study using interviews. It was reported that professional development is influenced by self-efficacy. In the light of said definitions on the importance of self-efficacy in teachers,  its importance is conceivable in the field as it crucially influences the learning environment and students' attainment (Bandura, 1993). In other words, teachers believe that their effective teaching positively impacts students' learning and inspires them to use the body of professional knowledge available to them to enhance their professionalism and solve their problems. Prior research in the literature acknowledges the significance of psychological factors like teacher grit and self-efficacy that can promote CPD (Richardson, Rivera-Santos, Drulla-Rossi, & Trif, 2020). However, previous research may only be considered the first step towards a more profound understanding of the facets that enhance teachers’ continuing professional development. Due to insufficient research on the concept of professionalism, this research study aims to propose a model and investigate the possible relationships of two non-cognitive skills, including Grit and self-efficacy, with teachers’ CPD using AMOS software. To sum up, the promising lines of this research would answer the following questions:

RQ1: Is the proposed model of interrelationships among EFL teachers’ Grit level, self-efficacy, and continuing professional development appropriate for Iranian EFL teachers?
RQ2: Is there any meaningful relationship between EFL teachers’ grit and their self-efficacy in Iran?
RQ3: Is there any meaningful relationship between EFL teachers’ grit and their CPD in Iran?
RQ4: Is there any meaningful relationship between EFL teachers’ self-efficacy and CPD in Iran?

Based on the literature, the researcher proposed a model of associations using a structural equation modeling approach to dissect the links among teacher grit, self-efficacy, and their continuing professional development. In other words, I hypothesized that both self-efficacy and grit in teachers are interrelated and may contribute to the enhancement of Iranian EFL teachers' professional development.

2. METHODOLOGY

This section explains the participants, setting, instruments, procedure, and study design. Finally, the proposed model is presented.

2.1. Participants and Setting

The study sample size was 204 Iranian EFL teachers (111 males and 93 females). They teach in various private language schools in Khorasan, Mashhad (e.g., Kish Novin, Mahan, Iran). Convenience sampling was utilized to collect the data; given that the grit level refers to long-term goals, the researcher of the present study used teachers with a minimum of 5 years of experience in teaching English. Therefore, novice teachers were not considered in the study. Their age and field of study were not controlled. The age range of the participant teachers differed from 22 to 47. The females’ age range changed from 22 to 38 (M=28.57, SD=5.54), and the males’ age range varied from 24 to 47 (M=30.17, SD=5.17). They were English language teachers who had experience participating in different workshops. They had diverse years of experience in teaching English (M=10.34, SD=4.02). The participants' level of education differed from Bachelor of Arts (BA) to PhD.

2.2. Instrumentation

Three instruments were used, including (Duckworth. & Quinn, 2009) Short Grit Scale (Grit–S), (Tschannen-Moran & Woolfolk-Hoy, 2001) Teachers’ Self-Efficacy Scale (TSES), and teachers’ Continuing Professional Development questionnaire (CPD) made by De Vries et al. (2013).

2.3. Short Grit Scale

The Short Grit Scale was developed and validated by Duckworth. and Quinn (2009); it is the short form of Duckworth et al. (2007), a two-factor questionnaire with 12 self-report items (Grit–O). This short-form includes eight items with two minor constructs of Consistency of Interest (CI) with 4items and Perseverance of Effort (PE) with four items. It took 8 to 10 minutes to fill out this scale.

According to Duckworth and Quinn (2009), the internal consistency of CI is acceptable and ranges from 0.73 to 0.79. Moreover, the consistency of the PE subscale enjoyed acceptable reliability that ranges from 0.60 to 0.78.

2.4. Teachers' Self-Efficacy Scale (TSES)

TSES was prepared and validated by Tschannen-Moran and Woolfolk-Hoy (2001). This 9-point Likert scale has 24 items assessing three eight-item subscales of efficacy: student engagement (SE), instructional strategies (IS), and classroom management (CM). Therefore, the probable range of scores for each subscale is between 8 and 72. It took 10 to 15 minutes to fill out this scale.

2.5. Continuing Professional Development (CPD)

The last instrument of the current study was CPD, constructed by De Vries et al. (2013). It consists of 40 items covering three sub-scales: Updating activities (11 items), Reflective activities (13 items), and Collaborative activities (16 items). The scale is a 4-point Likert- type. It took 15 to 20 minutes to fill out this scale. They validated the scale through LISREL 8.8 and assessed its reliability using Cronbach's Alpha which was 0.75 to 0.86 and showed good reliability.

2.6. Procedure

The study's data collection started in May 2019 and took about two months. The researcher selected the target participants based on convenience sampling from male and female EFL teachers teaching in private language schools. Having explained the purpose of the research, the researcher distributed three questionnaires: Short Grit Scale (Grit–S), Teachers’ Self-Efficacy Scale (TSES), and CPD. The participants provided demographic information, such as age, gender, the field of the study, and years of teaching experience. This process took 30 to 45 minutes.

2.7. The Proposed Model for SEM

Figure 1 shows the proposed model of the associations among teachers’ grit level, self-efficacy, and continuing professional development.

Figure 1. The proposed model of the interrelationship among teachers’ grit level, self-efficacy, and their continuing professional development (CI: Consistency of Interest; PE: Perseverance of Effort; ESE: Efficacy for Student Engagement; EIS: Efficacy for Instructional Strategies; ECM: Efficacy for Classroom Management; UA: Updating Activities; REF: Reflective Activities; and COL: Collaborative Activities).

As the Fig shows, a direct path from self-efficacy was drawn. This path is based on the literature. For example, Dobbins (2016) found the possible links between grit and self-efficacy using Pearson correlation (r=0.306). The results showed that the self-efficacy of teachers enhances their grit. Moreover, it was assumed that teachers’ grit level and self-efficacy could predict their CPD. The path from self-efficacy to continuing professional development is hypothesized based on some reviews of literature. For example, Fischman (2018) conducted a qualitative study using interviews. It was reported that professional development is influenced by self-efficacy.

Moreover, the path from grit level to continuing professional development is hypothesized based on Duckworth et al. (2007) findings in 2007. They reported that possibly grit is connected with teachers' success in the profession over and beyond measures of their capacity.  Following this literature and finding the interrelationships mentioned above among teachers' Grit level, self-efficacy, and the concept of CPD, a model was hypothesized for the analyses in this study Figure 1.

3. RESULTS

This part presents preliminary results, including normality tests, descriptive statistics, and reliability analysis. Then it continues with the results of each research question.

3.1. Normality Test

To gauge the normality, the researcher applied the Kolmogorov-Smirnov test. As Table 1 presents, the obtained sig values are higher than 0.05 for all variables in the study. This is indicative of the normal data used in the study.

Table 1. The Results of kolmogorov-smirnov normality test.
 
r">Value
r">Df
r">Sig.
Grit
r">0.09
r">204
r">0.07
Self-Efficacy
r">0.08
r">204
r">0.08
CPD
r">0.06
r">204
r">0.15

3.2. Descriptive Statistics

The present section reports the descriptive statistics of the sample. Table 2 shows descriptive statistics of two sub-constructs of the grit questionnaire. Descriptive statistics show the number of students, mean, standard deviation, maximum, and minimum scores. The probable score range for both sub-constructs of the grit is between 4 and 20. Moreover, the possible score range for overall grit is between 8 and 40. The first column of the table shows that 204 teachers participated in the present study. As Table 2 indicates, minimum and maximum scores for the overall grit Questionnaire are 11 and 36, and the mean score is 27.48. Moreover, the mean score of Consistency of Interest (14.21) is higher than Perseverance of Effort (13.27).

Table 2. Descriptive statistics of grit questionnaire.
 
N
Min
Max
Mean
Std. Deviation
Consistency of Interest
204
6.00
20.00
14.21
2.72
Perseverance of Effort
204
5.00
20.00
13.27
2.59
Grit
204
11.00
36.00
27.48
4.19

Table 3 presents descriptive statistics of three sub-constructs of the self-Efficacy questionnaire, the possible range of scores are between 8 and 72. Moreover, the possible range of scores for the overall self- Efficacy questionnaire is between 24 and 216. The first column of the table shows that 204 teachers filled out the questionnaire in the present study. As Table 3 indicates, minimum and maximum scores for overall Self-efficacy are 99 and 182, and the mean score is 148.15. Moreover, among the three sub-constructs of the questionnaire, Efficacy in CM has the most significant mean (52.23), and Efficacy in SE has the lowermost mean score (45.50).

Table 3.Descriptive statistics for self-efficacy questionnaire.
 
N
Min
Max
Mean
Std. Deviation
Efficacy in Student Engagement
204
24.00
69.00
45.50
9.40
Efficacy in Instructional Strategies
204
32.00
70.00
50.41
6.65
Efficacy in Classroom Management
204
30.00
71.00
52.23
7.32
Total TSES
204
99.00
182.00
148.15
19.53

Table 4 presents descriptive statistics of three sub-constructs of the Continuing Professional Development questionnaire. The first column of the table shows that 204 teachers filled out the questionnaire in the present study. As Table 4 indicates, minimum and maximum scores for overall Continuing Professional Development are 83 and 161, and the mean score is 131.64.

Table 4. Descriptive statistics of continuing professional development.
 
N
Min
Max
Mean
Std. Deviation
Updating activities
204
18.00
42.00
31.29
5.34
Reflective activities
204
23.00
50.00
40.25
5.43
Collaborative activities
204
6.00
81.00
60.08
10.45
Overall CPD
204
83.00
161.00
131.64
17.71

3.3. Reliability of the Questionnaires

Table 5 presents the results of the Cronbach alpha analyses for three questionnaires used in this study. The table illuminates that the questionnaires procured adequate indexes of Cronbach alpha altogether: Grit (0.87), Self-Efficacy (0.91), and CPD (0.86).

Table 5. Reliability of the questionnaires using Cronbach alpha.
Scale
Number of items
Cronbach alpha
Grit
8
0.87
Self-Efficacy
24
0.91
CPD
40
0.86

4. RESULT OF RESEARCH QUESTIONS

4.1. Result of Research Question One

RQ1: Is the proposed model of the interrelationships among Iranian EFL teachers’ Grit level, self-efficacy, and continuing professional development appropriate for Iranian EFL teachers?

To analyze the first research question, SEM was used. Amos 24 statistical package was also used to measure the structural relations in the proposed model. Table 6 shows the goodness of fit indices. Table 6 demonstrates that the chi-square/df ratio (2.87), RMSEA (0.07), GFI (0.91) and CFI (0.90) are within the acceptable fit ranges. Therefore, it concludes that the proposed model is acceptable in the Iranian context.

Table 6. The goodness of fit indices.
 
X2/df
GFI
CFI
RMSEA
Acceptable fit
<3
>0.90
>0.90
<0.08
Model
2.87
0.91
0.90
0.07

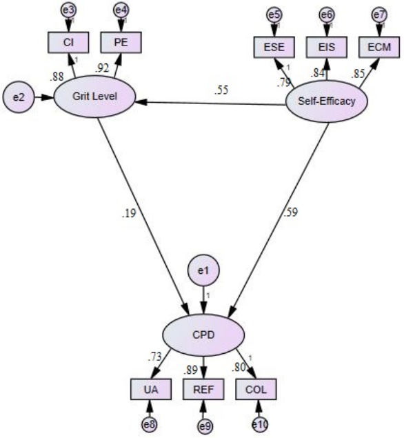
Standardized estimates were used to calculate the power of causal relationships of the components. Figure 2 shows the model of the interrelationships among EFL teachers’ Grit level, self-efficacy, and CPD. As Figure 2 denotes, an estimate is manifested on the paths. This estimate elucidates the effect size and the predictive power of the independent variable. Magnitude 1.0 shows the highest and greatest predictive power of variables. As Figure 2 shows, teachers’ grit and self-efficacy are significant positive predictors of continuing professional development: teachers’ grit (β= 0.19, p<0.05) and self-efficacy (β= 0.59, p<0.05). Moreover, results revealed that self-efficacy predicts grit (β= 0.55, p<0.05).

Figure 2. The model of the interrelationships among Iranian EFL teachers’ Grit level, self-efficacy, and continuing professional development (CI= Consistency of Interest, PE= Perseverance of Effort, ESE= efficacy for student engagement, EIS= efficacy for instructional strategies, ECM= efficacy for classroom management, UA= Updating activities, REF= Reflective activities, COL= Collaborative activities).

4.2. Result of Research Question Two

RQ2: Is there any meaningful association between Iranian EFL teachers’ grit and self-efficacy?

The relationship among variables was estimated through Pearson correlation. Table 7 demonstrates the results of the correlation between teachers’ grit and self-efficacy. When appertaining to Table 7, there is a positive, meaningful relationship between Teachers’ Grit and Self-Efficacy (r=0.57, p<0.05).

Table 7.Correlation between teachers’ grit and self-efficacy.
 
Self- Efficacy
Grit Pearson correlation
0.57**
Sig. (2-tailed)
0.00
N
204
Note: **Correlation is significant at the 0.01 level (2-tailed).

4.3. Result of Research Question Three

RQ3: Is there any meaningful association between Iranian EFL teachers’ grit and their continuing professional development?

Table 8 designates the magnitude of the correlation between grit and CPD. Table 8 marks a positive, meaningful connection between Grit and CPD (r=0.56, p<0.05).

Table 8. Correlational analysis between Teachers’ Grit and CPD.
 
CPD
Grit Pearson Correlation
0.56**
Sig. (2-tailed)
0.00
N
204
Note: **Correlation is significant at the 0.01 level (2-tailed).

4.4. Result of Research Question Four

RQ4: Is there any meaningful association between Iranian EFL teachers’ self-efficacy and CPD?

Table 9 exhibits the correlational results between Iranian EFL teachers’ self-efficacy and CPD. As Table 9 shows, there is a positive, meaningful association between Teachers’ Grit and CPD (r=0.74, p<0.05).

Table 9. Correlation between Teachers’ Self-Efficacy and CPD.
 
CPD
Self-Efficacy Pearson Correlation
0.74**
Sig. (2-tailed)
0.00
N
204
 Note: **. Correlation is significant at the 0.01 level (2-tailed).

5. DISCUSSION

Having presented the study results in the last part, the researcher discusses, interprets, and connects the analyzed results with the related studies. This study investigated the possible association between two non-cognitive variables (self-efficacy and grit) and continuing professional development. The findings unfolded a positive and meaningful relationship between the two variables of the study, namely, teachers’ grit and self-efficacy. Therefore, teachers who have a higher level of grit may enjoy greater self-efficacy. The findings confirmed Dobbins’s (2016) study, which investigated the possible association between grit and teachers’ self-efficacy. It can be inferred that self-efficacy promotes grit. The role of teachers in advancing students' achievement is well understood by scholars leading to the investigation of several factors that influence teacher success and quality. As the results showed, grit is important in boosting teacher self-efficacy.  Besides, self-efficacy in teachers can enhance their grit, self-determination, and motivation to solve the unexpected events and obstacles that occur while pursuing their educational outcomes. The findings of different studies in Iran and other countries show that EFL teachers do not persist in their job and may have other jobs that are not related to their educational degree due to burnout (Bayani & Baghery, 2020; Fathi & Saeedian, 2020; Kim & Burić, 2020; McLean, Eklund, Kilgus, & Burns, 2019; Molero, Pérez-Fuentes, Atria, Oropesa, & Gázquez, 2019) .

Moreover, grit is a teachable trait (Wei, Liu, & Wang, 2020). Therefore, in the context of Iran, it is suggested that educational leaders establish school environments and facilities that increase teachers' motivation and grit in their job. The reason is that such teachers are more willing to utilize a principled approach to teaching to better meet the needs of the students and transfer their energy and attitude to the students. Ultimately, when qualified gritty teachers are employed, student achievement and educational outcomes improve.

Such accomplishments are of great importance. Regarding the significance of grit as a psychological variable in teachers, Wei et al. (2020) claim that individuals with a higher level of grit possess more happiness, pessimism, self-efficacy, and self-esteem, all of which can justify the obtained results in this study. Moreover, the promising finding of this research supports Bandura's (1993) Social Cognitive Theory (SCT). According to the theory, instructors with higher self-efficacy seem to have more responsibility for their failures. Therefore, they attempt more to find solutions to the problems in challenging teaching environments. Teachers' self-efficacy inspires teachers to maintain their perseverance and invest their time, emotions, passions and energy to reach success, and find the obstacles that hinder their success. So, the more diligent and hard-working teachers are, the more efficacious they are in recovering from setbacks and remaining in their jobs (Argon & Kaya, 2018). It is worth mentioning that teachers' beliefs and efficacy do not sustain over time and teachers, therefore, need workshops, practice, perseverance, and effort to develop their professional development (Chen, 2020). The results of SEM add that continuing professional development is predicted by self-efficacy. A similar conclusion was reached by Fischman (2018). He conducted a qualitative study using interviews and acknowledged the effect of self-efficacy on CPD.  Ward’s (2015) research provides evidence for the present study's results as he found a positive association between self-efficacy and professional development. In other words, providing opportunities for teachers to promote professionalism may be considered a reasonable attempt to encourage self-efficacy when teachers utilize technology in their classrooms. Overall, the relationship between self-efficacy and CPD implies that self-efficacious teachers invest their energy and aspiration to try new ideas, have action research, are reflective, and strategic to develop their CPD and accomplish success. This can also explain for the obtained results on the links between grit and CPD since such teachers are more persistent in their efforts even when they face obstacles.

The results of the Pearson correlation have also verified the positive relationship between grit and CPD. Furthermore, the results of SEM showed that continuing professional development is predicted by teachers’ grit. As teaching is regarded as a challenging profession, teachers and educational leaders must identify ways to enhance teacher grit and motivation to develop their CPD, remain in the profession, and not reach burnout. The implications also found support by Duckworth et al. (2007) and Duckworth and Quinn (2009) claim, highlighting that teachers with higher grit are more enthusiastic about practicing harder and developing their CPD than others with low grit levels. More importantly, such teachers possess more sense of commitment and self-determination to succeed in their job. This analysis also found evidence for the research conducted by Duckworth et al. (2007). They also claimed that grit and success in the profession are related. Therefore, individuals with higher grit tend to develop professionally more than other teachers. Gritty teachers seem to be more enthusiastic about collaborating with fellow teachers, assert professional dialogue and have peer coaching and supervision as techniques for professional development (De Simone, 2020). As a psychological factor that fosters teacher quality, grit has incredibly caught the researchers' attention in the 21st century (Molero et al., 2019). Grit protects teachers against procrastination in their efforts and interestingly promotes self-regulation (Attia & Abdelwahid, 2020). Chances are great for gritty teachers to be self-regulated, autonomous, and self-actualized. They are more integrally motivated to attend different workshops and collaborate with other teachers to enhance their teaching quality and CPD.

The obtained results between grit and CPD can also be due to the volition of self-regulated teachers. As mentioned above, grit encourages the teachers to be persistent in the routes to success and initiate, maintain, and terminate until their ultimate goals and behaviors are achieved. In other words, the more gritty teachers are, the more knowledge, motivation, and volition they have. All of which augment teachers’ professional development.

Moreover, grit is negatively correlated with other psychological variables like anxiety, stress, and sadness and positively correlated with conscientiousness, self-control, and emotional stability (Wei et al., 2020).  Conscientiousness has an important feature as a Big Five personality trait subcategory. The important feature includes high levels of thinking, pleasure, and goal-directed behaviors. Therefore, teachers with such a trait are gritty, mindful, and organized to progress in their profession. So they plan and think about how to be successful in their job. Even though this study yielded essential outcomes, especially for school managers, supervisors, and the ministry of education in Iran, there are also several limitations to this research. First, the teachers were selected from private language institutes. Therefore, the result of this study cannot be generalized to language teachers in other contexts of teaching (public schools). Second, the major limitation of this study is that the participants were EFL teachers from one city in Iran named Mashhad, so the results cannot be generalized to other cities in Iran or other countries. Third, in this study, the variables in question were assessed via questionnaires, and they, therefore, are limited to quantitative instruments. It is recommended to Use qualitative approaches such as interviews, case studies, and observations to investigate the constructs of this research. Finally, demographic information of teachers such as age, experience, gender, and background was not considered.

To sum up, the results exhibited a significant positive correlation between teachers’ grit and their self-efficacy. As self-efficacy improves, teacher grit also enhances. These results are essential since teachers with higher grit have more perseverance to practice harder than other teachers. Moreover, there was a significant positive correlation between teachers’ grit and their continuing professional development. This result confirms those of Duckworth et al. (2007). They also reported that grit is related to success in teaching the English language and not related to cognitive ability.  More importantly, this study does not consider additional cognitive and non-cognitive factors that may influence teacher professional development. There was also a significant positive correlation between teachers’ self-efficacy and their continuing professional development. This finding is similar to some studies that found a significant positive relationship between these two variables (e.g. (Fischman, 2018; Ward, 2015)). Finally, the proposed model for the interrelationships of teachers’ Grit level, self-efficacy, and continuing professional development was appropriate for Iranian EFL teachers. The literature review suggests that the findings sound reasonable and justified. Therefore, the present study supports the previously reviewed theories. According to Dobbins (2016), as self-efficacy improves, teacher grit also improves. Furthermore, these findings indicate the relationship between teachers’ grit, self-efficacy, and their continuing professional development because individuals with higher grit tend to develop professionally more than other teachers.

6. CONCLUSIONS

One of the main problems that previous researchers also pointed out are that in the Iranian context, the concept of professionalism is neglected (e.g. (Aghaalikhani & Maftoon, 2018; Khany & Azimi, 2016)). It was also reported that traditional teacher education programs might suggest a prescribed standards-based methodology, but teachers’ continuing professional development in most EFL Iranian teaching contexts is ignored. Moreover, although teachers’ grit has been studied in Iran, little is known about this concept in the Iranian EFL context. The present results expand information on the importance of grit and self-efficacy in continuing professional development. The findings indicate that the proposed SEM model for the Iranian context of EFL learners enjoyed a perfect fit with the data. A significant positive correlation between grit level and self-efficacy exists. This implies that teachers with higher grit are more persistent and determined to reach success. In addition, the model showed a positive association between grit and self-efficacy with CPD.

Since non-cognitive factors, including teacher grit and self-efficacy, are the foundation of life achievement (Duckworth & Quinn, 2009), the gained results are significant for teachers, administrators, and syllabus designers. This study underscores the vitality of two psychological factors of Iranian EFL teachers by exploring their relationship with continuing professional development. Therefore, the present research study adds to the knowledge and exploration of teacher grit in education, particularly in the Iranian EFL context. As assessed by the grit questionnaire, Passion and perseverance, seem to be the required abilities to succeed and develop professionality in SLA since teachers need passion to motivate themselves and perseverance to keep making an effort in the language teaching process (Yamashita, 2018). The results of this study help administrators create a situation that motivates educators to keep up with their educational attempts. Particularly, finding the relationship between the variables of this research can introduce ways for educational administrators to improve professionalism and teachers’ quality. Besides, the results of this investigation help the ministry of education and syllabus designers make appropriate decisions on improving teachers’ CPD by providing opportunities to enhance self-efficacy and grit levels. It is recommended that future researchers replicate this study with larger samples from diverse educational contexts to validate the current findings.

Funding: This study received no specific financial support.  

Competing Interests: The author declares that there are no conflicts of interests regarding the publication of this paper.

REFERENCES

Aghaalikhani, H., & Maftoon, P. (2018). English teacher education programs and professionalism: The case of Iranian novice/experienced teachers. Research in English Language Pedagogy, 6(1), 78-94.Available at: https://doi.org/10.30486/relp.2018.538776 .

Argon, T., & Kaya, A. (2018). Examination of grit levels of teachers according to some personal factors. Journal of Education and Training Studies, 6(3), 45-53.Available at: https://doi.org/10.11114/jets.v6i3a.3157 .

Attia, N. M., & Abdelwahid, A. (2020). Grit, Self-regulation and self-efficacy as predictors of academic procrastination among nursing students. Amarjeet Kaur Sandhu, 12(1), 130-142.

Bandura, A., Barbaranelli, C., Caprara, G. V., & Pastorelli, C. (1996). Multifaceted impact of self-efficacy beliefs on academic functioning. Child Development, 67(3), 1206-1222.Available at: https://doi.org/10.1111/j.1467-8624.1996.tb01791.x .

Bandura, A. (1993). Perceived self-efficacy in cognitive development and functioning. Educational Psychologist, 28(2), 117-135.Available at: https://doi.org/10.1207/s15326985ep2802_3 .

Bayani, A. A., & Baghery, H. (2020). Exploring the influence of self-efficacy, school context and self-esteem on job burnout of Iranian Muslim teachers: A path model approach. Journal of Religion and Health, 59(1), 154-162.Available at: https://doi.org/10.1007/s10943-018-0703-2 .

Bobek, B. L. (2002). Teacher resiliency: A key to career longevity. Clearing House, 75(4), 202–205.Available at: https://doi.org/10.1080/00098650209604932 .

Celik, S., Mačianskienė, N., & Aytin, K. (2013). Turkish and Lithuanian EFL instructors’ professional development experiences: Worth the effort, or waste of time? Karadeniz Technical University, 15(2), 160-187.

Chen, G. (2020). A visual learning analytics (VLA) approach to video-based teacher professional development: Impact on teachers’ beliefs, self-efficacy, and classroom talk practice. Computers & Education, 144, 12-35.Available at: https://doi.org/10.1016/j.compedu.2019.103670 .

De Simone, J. (2020). The roles of collaborative professional development, self-efficacy, and positive affect in encouraging educator data use to aid student learning. Teacher Development, 24(4), 443-465.Available at: https://doi.org/10.1080/13664530.2020.1780302 .

De Vries, S., Van De Grift, W. J. C. M., & Jansen, E. P. W. A. (2013). Teachers' beliefs and continuing professional development. Journal of Educational Administration, 51(2), 213-231.Available at: https://doi.org/10.1108/09578231311304715 .

Dobbins, D. (2016). Teacher effectiveness: Examining the relationship between teacher grit and teacher self-efficacy. Ph.D. Thesis.  

Duckworth, A. L., Peterson, C., Matthews, M. D., & Kelly, D. R. (2007). Grit: Perseverance and passion for long-term goals. Journal of Personality and Social Psychology, 92(6), 1087-1101.Available at: https://doi.org/10.1037/0022-3514.92.6.1087 .

Duckworth, A. L., & Quinn, P. D. (2009). Development and validation of the short grit scale (Grit–S). Journal of Personality Assessment, 91(2), 166-174.Available at: https://doi.org/10.1080/00223890802634290 .

Fathi, J., & Saeedian, A. (2020). A structural model of teacher self-efficacy, resilience, and burnout among Iranian EFL teachers. Iranian Journal of English for Academic Purposes, 9(2), 14-28.

Fischman, L. (2018). Principal self-efficacy and professional development: For teacher evaluation in Indiana. Ph.D. Thesis.  

Hardy, J. E. (2011). Professionalism in language teaching? Journal of Modern Languages, 14, 245-261.

Khany, R., & Azimi, A. F. (2016). Validating an English language teacher professional development scale in Iranian EFL context. Issues in Language Teaching, 5(1), 134-107.

Kim, L. E., & Burić, I. (2020). Teacher self-efficacy and burnout: Determining the directions of prediction through an autoregressive cross-lagged panel model. Journal of Educational Psychology, 112(8), 1661-1676.Available at: https://doi.org/10.1037/edu0000424 .

McLean, D., Eklund, K., Kilgus, S. P., & Burns, M. K. (2019). Influence of teacher burnout and self-efficacy on teacher-related variance in social-emotional and behavioral screening scores. School Psychology, 34(5), 503-511.Available at: https://doi.org/10.1037/spq0000304.

Molero, J. M. D. M., Pérez-Fuentes, M. D. C., Atria, L., Oropesa, R., N. F., & Gázquez, L., J. J. (2019). Burnout, perceived efficacy, and job satisfaction: Perception of the educational context in high school teachers. BioMed Research International, 1-11.Available at: https://doi.org/10.1155/2019/1021408 .

Richardson, L. R., Rivera-Santos, O., Drulla-Rossi, A., & Trif, D. (2020). Measuring positive psychology constructs to determine the effect of a well-being intervention at gateway community college. [Master's Thesis, University of Pennsylvania]. Applied Positive Psychology (MAPP) Service Learning Projects.  

Rimmer, W., & Floyd, A. (2020). Teaching associations and professionalism. ELT Journal, 74(2), 126-135.Available at: https://doi.org/10.1093/elt/ccaa003 .

Ro, J. (2020). Curriculum, standards and professionalisation: The policy discourse on teacher professionalism in Singapore. Teaching and Teacher Education, 91, 103056.Available at: https://doi.org/10.1016/j.tate.2020.103056 .

Robins, S. (2019). Academic achievement and retention among ESL learners: A study of grit in an online context. Unpublished Doctoral Dissertation. Carrolton, GA: University of West Georgia.  

Shechtman, N., DeBarger, A. H., Dornsife, C., Rosier, S., & Yarnall, L. (2013). Promoting grit, tenacity, and perseverance: Critical factors for success in the 21st century. Washington, DC: U.S. Department of Education.

Smith, K. (2005). Teacher educators’ expertise: What do novice teachers and teacher educators say? Teaching and Teacher Education, 21(2), 177-192.Available at: https://doi.org/10.1016/j.tate.2004.12.008 .

Sudina, E., Vernon, T., Foster, H., Del Villano, H., Hernandez, S., Beck, D., & Plonsky, L. (2021). Development and initial validation of the L2-teacher grit scale. TESOL Quarterly, 55(1), 156-184.Available at: https://doi.org/10.1002/tesq.581 .

Tschannen-Moran, M., & Woolfolk-Hoy, A. (2001). Teacher efficacy: Capturing an elusive concept. Teaching and Teacher Education, 17(7), 783-805.Available at: https://doi.org/10.1016/s0742-051x(01)00036-1 .

Usher, E. L., Li, C. R., Butz, A. R., & Rojas, J. P. (2019). Perseverant grit and self-efficacy: Are both essential for children’s academic success? Journal of Educational Psychology, 111(5), 877-902.Available at: https://doi.org/10.1037/edu0000324 .

Ward, S. (2015). The impact of self-efficacy and professional development on implementation of web 2.0 tools in elementary classrooms. M.A. Thesis. Education Dissertations and Projects.  

Wei, R., Liu, H., & Wang, S. (2020). Exploring L2 grit in the Chinese EFL context. System, 93, 102295.Available at: https://doi.org/10.1016/j.system.2020.102295 .

Yamashita, T. (2018). Grit and second language acquisition: Can passion and perseverance predict performance in Japanese language learning?  , Master’s Thesis, University of Massachusetts, Amherst, MA, USA.

The views and opinions expressed in this article are the views and opinions of the author(s), Asian Journal of Contemporary Education shall not be responsible or answerable for any loss, damage, liability, etc., caused with/arising out of the use of the content.